LA CONSTRUCCION DE TELESCOPIOS
POR EL AFICIONADO
Por Ing. S. J Scahvasse
CURSO
DE EXTENSION UNIVERSITARIA
DEPARTAMENTO
DE FISICA
UNLP
INTRODUCCIÓN
El hombre comienza la
observación del cielo estrellado desde niño, haciendo uso solamente
de sus ojos, lo que llamamos observación a simple vista o a
ojo desnudo. Aún en estas condiciones, si tenemos la oportunidad
de encontrarnos en un lugar distante de las luces de las grandes ciudades,
en una noche despejada y sin Luna, el espectáculo de la bóveda
celeste tachonada de estrellas es cautivante y conmovedor. Es seguro que más
de una vez hemos pasado por esta experiencia y nos hemos sentido atraídos
por el misterio que envuelve a esos astros, llevándonos a leer sobre
estos temas. Así comienza generalmente la inclinación o el interés
por esta ciencia que se llama Astronomía, cuyo origen tan antiguo se
confunde con el de la primitiva Astrología.
El mayor impulso que
luego recibe un aficionado aparece cuando tiene ocasión de observar
los astros con la ayuda de un buen instrumento, aunque sea un par de prismáticos.
La observación con telescopio permite alcanzar mayores aumentos, y
uno bueno tanto puede ser adquirido en los comercios como construido por el
aficionado.
Un telescopio consta
de dos elementos ópticos principales:
un objetivo y
un ocular. El objetivo es la pieza más importante, más
grande y costosa, y puede estar constituido por un par de lentes en los llamados
telescopios refractores, o bien por un espejo levemente cóncavo
en los telescopios llamados reflectores. El ocular consta, en su forma
más simple, de dos pequeñas lentes montadas a cierta distancia
entre sí en un tubo corto de aproximadamente 20 a 50 mm. de diámetro.
El ocular es adquirido, por lo común, en comercios especializados.
En cambio los objetivos reflectores suelen ser construidos por los propios
aficionados. Algunos llegan a alcanzar gran perfección en la construcción
del espejo objetivo de su telescopio y buena parte de ellos encuentran en
esta tarea un trabajo gustoso, con todas las satisfacciones que puede deparar
cualquier otra artesanía, independientemente ya de su afición
por la Astronomía.
El más sencillo
de los telescopios y cuya construcción está más al alcance
de cualquier persona con deseos de observar los astros y con cierta dosis
de paciencia, es el telescopio reflector newtoniano, llamado así
porque fue el físico inglés Newton quien realizó el primero
en Inglaterra hacia 1672 construyendo el espejo objetivo de bronce pulido.
A mediados del siglo
pasado, el físico francés León Foucault comenzó
la construcción de espejos de vidrio plateado y en la actualidad se
utiliza generalmente el vidrio aluminizado.
Antes de proseguir con
el tema de los telescopios es necesario definir los siguientes parámetros
de un espejo—objetivo:
1)
CENTRO DE CURVATURA (C): En un espejo esférico, es el centro
de la esfera a la cual pertenece la superficie óptica (Fig.1) (Casquete
esférico).
FIGURA 1
2)
RADIO DE CURVATURA (R): En un espejo es el radio de dicha esfera (Fig.
1).
3) EJE OPTICO:
Es la recta determinada por el centro del disco del espejo, que llamaremos
Vértice (V) y su Centro de Curvatura (C) (Fig.
2).
Fig. 2
4)
FOCO PRINCIPAL (F): Es el punto al cual concurren los rayos reflejados
por el espejo, cuando incide sobre él un haz de rayos paralelos a su
eje óptico (Fig. 3). El foco principal se encuentra sobre el eje óptico,
a igual distancia de V y deC.
Fig. 3
5)ABERTURA:
La abertura lineal es el diámetro (D) del espejo. La abertura
angu1ar (a)
es el ángulo
con vértice en el foco F cuyos lados pasan por los extremos de un diámetro
(Fig.3>.
6)
DISTANCIA FOCAL (f): Es la distancia entre el vértice V del
espejo y su foco F (Fig. 3). Resulta ser f = R/2.
7)
RELACIÓN FOCAL (F): Es el cociente entre la distancia focal
f y el diámetro D del espejo: F =
f/D.
8).PLANO
FOCAL: Es el plano perpendicular al eje óptico que pasa por el
foco principal F.
9)
FLECHA (j):
Es el pequeño
segmento comprendido entre el vértice y el punto medio de un diámetro
óptico del espejo.
j
r2
2R
Fig. 4
OBSERVACIÓN-
AUMENTO-
LIMITACIONES
Sin llegar a comprar
o construirse un telescopio, todo aficionado puede comenzar a observar el
cielo de una manera más modesta, aunque no menos placentera. Puede
dar su primer paso instrumental adquiriendo unos prismáticos binoculares
de 7×50 o de 10×50 (pues llevan estampadas estas características ópticas:
7 significa aumentos y 50 el diámetro del objetivo en milímetros
(mm). A veces también se indica el campo (FIELD), por ej. 7°. Estos
prismáticos son ideales para observar el cielo abarcando un gran campo
visual (hasta unos 7°)
y son los más
adecuados para estudiar las constelaciones y otros conjuntos estelares. La
observación con poco aumento (7 a 10 veces) de los campos de estrellas,
permite apreciar la belleza de algunos cúmulos abiertos, que los telescopios
no alcanzan a mostrar en conjunto debido al pequeño campo que suelen
abarcar. Esto es así porque el aumento empleado y el campo abarcado
son dos cualidades contrapuestas. Cuando uno es grande, el otro fatalmente
resulta pequeño.
Se puede decir entonces
que hay dos maneras extremas de observar el cielo nocturno: con poco aumento
y mucho campo o con mucho aumento y poco campo. La elección de una
u otra forma depende del objeto celeste a observar. Si se trata de contemplar
algunos cúmulos abiertos de estrellas que son muy extendidos, o bien
la Luna completa o algún cometa, se requerirá el mínimo
aumento para tener el mayor campo. Pero si deseamos observar un planeta o
estrellas dobles o múltiples, recurriremos a los mayores aumentos,
tanto como la atmósfera lo permita. Por supuesto que entre ambos extremos
caben todas las formas intermedias de observación. Con un mismo objetivo
podemos variar el aumento del telescopio cambiando el ocular. El aumento (A)
se calcula dividiendo la distancia focal del objetivo (f) por la distancia
focal del ocular (foc): A = f/foc
Existe un aumento
mínimo llamado equipupilar, que se calcula dividiendo por
6 el diámetro del objetivo expresado en mm. Esto es así porque
consideramos que el diámetro a que puede llegar el iris del ojo del
observador. en condiciones de muy débil iluminación (como es
el caso del cielo nocturno) es de 6 mm. Si usáramos un ocular de mayor
distancia focal que el que da este aumento, el haz de luz de rayos paralelos
que emerge del ocular por cada estrella observada sobrepasaría el diámetro
del iris y se perdería parte de la luz, la que entraría al objetivo
sin entrar al ojo.
Veamos un ejemplo. Sea
un objetivo de 180 mm. de diámetro. En un primer paso podemos calcular
el aumento mínimo utilizable que será: AEQ =
180 mm/ 6 mm =
30.
Sabiendo la distancia
focal de nuestro objetivo podemos calcular en un segundo paso la distancia
focal máxima que puede tener el ocular. Supongamos una distancia focal
de objetivo de f =
1440 mm. La del
ocular de menor aumento será: foc=/AEQ
o sea foc=
1440/30.
foc= 48 mm
Distancia Focal de Ocular para
Aumento
Mínimo o Equipupilar AEQ
El mínimo aumento
queda así bien definido, pero no ocurre lo mismo con el aumento máximo,
el cual depende de las condiciones atmosféricas, es decir de la turbulencia
del aire y de sus diferencias de temperatura. Este efecto perturbador de la
atmósfera hace que sea más agradable a veces mirar el cielo
con 120 aumentos por ejemplo, que con 300, porque con este mayor aumento no
sólo aparecerán las imágenes más borrosas sino
que no se ven más detalles y el campo abarcado es menor.
Las condiciones son muy
distintas con un telescopio en órbita, como el que recientemente se
ha lanzado al espacio. Allí no hay atmósfera que perturbe y
el aumento sólo está limitada por la naturaleza ondulatoria
de la luz. Según esto, la imagen muy ampliada de una estrella no será
un pequeño punto luminoso sino un pequeño disco rodeado de tenues
anillos concéntricos como muestra la Fig. 5.
Fig. 5
Imagen de una estrella muy aumentada, dada por un telescopio perfecto sin perturbación atmosférica. Al radio del primer anillo oscuro lo llamamos r y su valor lineal dependerá de la longitud de onda de la luz y de la relación focal del objetivo.
r
l.22 l
F = 1.22 l
f/D
Este valor lineal de
r
visto desde el centro del objetivo define un pequeñísimo ángulo
que es
r=1.22
l/D (radianes)
Ejemplo:
Sea un telescopio con
un diámetro de objetivo D = 300 mm. Ya se conoce que la longitud
de onda de la luz para el centro del espectro visible es l
= 0,56m
o mm
(micrones o micrómetros: unidad que equivale a la millonésima
parte de un metro: 0,000001 mm o 10-6 m). Como debemos expresar
esta cantidad en mm. tenemos:
l
= 0,00056 mm (1 m = 1000 mm)
Tendremos entonces:
r
= 1,22 x 0,00056/300 = 2,2773×10-6 radianes = 0,4697″
Para pasar a segundos
de arco multiplicarnos los radianes por 206265, es decir por la cantidad de
segundos de arco que hay en un radián.
Y si el telescopio del
ejemplo tiene 1500 mm. de distancia focal, el valor lineal de r
será r.f
r = 3,416 m.
Esto significa que los
telescopios difícilmente podrán separar dos puntos objetos situados
a una distancia angular igual a r
porque aún en condiciones ideales estaríamos prácticamente
en el limite de la resolución teórica.
Para fijar ideas digamos
que el máximo aumento que puede usarse en un telescopio chico es alrededor
de 10 veces el aumento equipupilar cuando se tienen excelentes condiciones
atmosféricas de observación.
MATERIALES PARA OBJETIVOS
Para construir un objetivo
refractor se necesitan por lo menos dos discos de distinto vidrio óptico,
para obtener imágenes aceptables. El objetivo de dos lentes (doblete)
logra compensar en gran parte la aberración cromática de las
lentes simples, pero hay que trabajar cuatro caras ópticas en discos
de vidrio costosos y difíciles de conseguir.
El objetivo reflector,
en cambio, es absolutamente acromático y necesita una sola cara óptica,
pudiéndose usar un vidrio que es mucho más económico,
ya que puede ser vidrio verde común usado en ventanas, baldosas, etc.,
con las únicas condiciones de que tenga un espesor suficiente (mínimo
de 1/9 del diámetro del disco) y estar libre de tensiones internas.
Existen vidrios mejores para construir espejos y ellos son los de baja dilatación,
como el vidrio tipo “PYREX” o “DURAN 50”, cuyos costos son moderados, pero
no son fáciles de obtener. Hay todavía otros materiales para
espejos cuya dilatación es prácticamente nula (ZERODUR, CERVIT,
etc.) de bastante mayor costo y cuyo uso no se justifica en nuestro caso,
al igual que el uso de cuarzo fundido, de muy baja dilatación, por
su alto precio.
Como vemos, la dilatación
del material con que están hechos los espejos es un aspecto muy importante,
debido a los cambios de forma que sufre la superficie óptica cuando
se producen variaciones bruscas de temperatura. Pero la importancia de este
efecto disminuye rápidamente con el tamaño y espesor de los
discos de vidrio, por lo que en nuestro caso, tratándose de espejos
pequeños, con espesores menores de 3 ó 4 centímetros
(cm), podemos usar el vidrio común, sin tener en cuenta su mayor dilatación.
FORMA DEL ESPEJO-OBJETIVO
Un espejo—objetivo
astronómico como el que necesitamos, debe tener forma de paraboloide
de revolución, o sea de sección parabólica para que
todos los rayos incidentes paralelos, provenientes de una estrella situada
en el eje óptico, se reflejen pasando por el foco principal. Decimos
entonces que el objetivo no tiene aberración de esfericidad.
TOLERANCIAS
Entre la forma parabólica
ideal y la forma real del espejo siempre habrá alguna diferencia, por
pequeña que sea. Para limitar esas diferencias se ha establecido cierta
tolerancia
relacionada con
la longitud de onda de la luz (l)
y teniendo en cuenta
la alteración que sufre la imagen de un punto—objeto lejano (estrella)
con el grado de imperfección del espejo.
El físico inglés
Lord Rayleigh (John William Strutt, 1842— 1919) estableció normas
que, aplicadas al caso de un espejo—objetivo, fijan una tolerancia de
1/8 de longitud de onda (l/8)
como máxima diferencia o apartamiento entre una superficie teórica
ideal parabólica y la superficie real del espejo. Un espejo cuya forma
cumpla con esta regla no se diferenciaría prácticamente de uno
ópticamente perfecto, siempre que las deformaciones sean de pendiente
suave.
Para una longitud de
onda promedio (centro del espectro visible) de l=0,56
m,
esa tolerancia representa un máximo error aceptable de O,07
m entre una forma
teórica perfecta y la superficie real del espejo.
Es natural que tal precisión
haga parecer difícil la tarea de construir un espejo—objetivo,
pero, sin embargo, es fácil hacerlo.
Por supuesto que por
ningún método de control mecánico seríamos capaces
de medir tan pequeñas diferencias. Felizmente, el físico francés
León Foucault (1819—1866, ideó un ingenioso y sencillo
método óptico que alcanza sobrada sensibilidad como para medir
la forma de un espejo con gran precisión, mediante el aparato que lleva
su nombre, que es fácil de construir. Más adelante describiremos
un modelo sencillo al alcance de cualquier aficionado. No se debe intentar
parabolizar un espejo sin este indispensable aparato de Foucault y sin experiencia
en esta delicada operación.
EL ESPEJO ESFERICO
Para alcanzar el éxito
en la construcción de un telescopio a espejos no es necesario conocer
matemática, física ni astronomía. Es posible dejar el
espejo-obetivo con forma esférica, ahorrándose el aficionado
todo el trabajo de parabolizado, los controles con el aparato de Foucault
y los cálculos que requiere cada uno de. ellos. Esto es aceptable si,
tratándose de un espejo de 200 mm de diámetro, se elige una
relación focal F no menor de 9, y no menor de 8 si el espejo es de
150 mm de diámetro.
En estos casos, la diferencia
entre la forma parabólica y la forma esférica es tan pequeña
que cae dentro de la tolerancia de l/8.
Un espejo esférico no mostrará entonces detrimento en la calidad
de las imágenes, respecto de uno parabólico perfecto. Pero si
se desean distancias focales más cortas (menores valores de F) y se
dispone de un aparato de Foucault, los cálculos para controlar el parabolizado
se pueden hacer conociendo solamente las cuatro operaciones de la matemática
elemental.
Fig. 6a
Espejo Esférico
Espejo parabólico
COMPORTAMIENTO ÓPTICO
DE ESPEJOS ESFÉRICOS Y PARABÓLICOS
La Fig. 6 muestra cómo
reflejan la luz de un haz paralelo incidente los espejos esféricos
y parabólicos. Se han exagerado las condiciones y los efectos en el
dibujo, para poder mostrar la diferencia.
En el espejo esférico
los rayos próximos al eje, que llamamos paraxiales tienen su
foco en Fo, mientras que los rayos marginales o del borde tienen su
foco en Fm. Entre Fo y Fm, separados por la distancia z
tendrán
su foco las zonas intermedias. Esta imperfección de los espejos esféricos
se llama aberración de esfericidad, y su medida la da el segmento
z . En
todo espejo esférico, el valor de z
correspondiente
a rayos incidentes paralelos, es igual a la mitad de la flecha j
del espejo,
o sea
z =
D2/16f.
Fig. 6b espejo parabólico
En cambio en un espejo
parabólico todos los rayos reflejados concurren al foco F, para las
mismas condiciones.
EL
TELESCOPIO NEWTONIANO
Es un tipo de telescopio
reflector caracterizado por tener además del espejo—objetivo,
un pequeño espejo plano próximo a la boca del tubo, que desvía
los rayos reflejados en el espejo principal, colocando el plano focal en un
costado para su observación con el ocular.
La disposición
de los elementos ópticos se muestra en la figura 7.
Fig. 7 Telescopio
Newtoniano
Estando el telescopio
con su eje VF dirigido hacia una estrella, entrará al tubo (3) un haz
de rayos paralelos (1) que llegará hasta el espejo cóncavo (2)
ubicado en el fondo del tubo. Este espejo refleja esos rayos devolviendo un
haz convergente hacia el foco F, donde se formarla la imagen de la estrella.
Para observarla deberíamos ubicarnos frente a F provistos de un ocular.
Pero con ello nuestra cabeza obstruiría casi totalmente la entrada
de luz al telescopio. Para salvar esta dificultad se usa un espejo plano (4)
inclinado 45° que desvía a 90° el eje óptico, llevando
el foco F a la posición F, donde estará ahora el plano focal
(5), para ser observado con el ocular (6) que se usa como si fuera una lupa.
Para que pasen los rayos hacia F, el tubo tiene en ese lugar un orificio adecuado.
En esas condiciones, la única obstrucción presente es la que
produce el pequeño espejo plano y su soporte, lo que representa sólo
del 4 al 7 % de toda la luz que recibiría el espejo—objetivo
sin obstrucción. La sombra de la montura del espejo plano y de su soporte
no son visibles normalmente por el ocular, como podría suponerse, debido
a que su imagen dada por el objetivo, se forma lejos del plano focal y esa
merma de luz se reparte en todo el campo.
FORMA Y TAMAÑO
DEL ESPEJO PLANO
Este espejo debe desviar
todos los rayos causando una obstrucción mínima. Dado que el
haz de luz es cónico, si seccionamos un cono con un plano a 45°
tendremos en la intersección una elipse con relación de ejes
1 a raíz cuadrada de 2 y ésta es la forma que debe tener el
espejo.
El tamaño de este
espejo se obtiene con la fórmula que permite calcular el eje menor
a de la elipse:
a
= D z /f
+ fc(f-
z)/f
donde D es el diámetro
del espejo-objetivo; f es su distancia focal, z
es la distancia OF = OF’(*) y fc
es el diámetro del diafragma de campo del ocular de menor aumento.
(*) No debe confundirse
esta distancia z
con el segmento
que mide la aberración de esfericidad (pags. 12 y 13), designado con
la misma letra.
Es necesario adoptar
un valor para z
que sea igual
a la mitad del diámetro externo del tubo más un valor comprendido
entre 10 y 60 mm o más, según se desee usar el telescopio exclusivamente
para mirar o se quiera adaptar una cámara fotográfica en el
foco F’.
Respecto del valor fc
debemos decir que cada ocular tiene su diafragma de campo que hace
que veamos nítido el borde del campo observado. El valor de fc
es aproximadamente igual a la distancia focal del ocular o algo menor, y en
oculares positivos el diafragma de campo está ubicado a pocos
mm delante de la lente de campo, coincidiendo con el plano focal del objetivo
y del ocular. El ocular de menor aumento tendrá el diafragma de campo
más grande
Fig. 8 Corte de un
ocular de dos lentes
EL
TELESCOPIO REFLECTOR DEL AFICIONADO
Trataremos los principales
aspectos comunes al proyecto y construcción de pequeños telescopios
reflectores cuyo espejo—objetivo pueda construirlo manualmente el aficionado.
El diámetro de
ese espejo-objetivo fija la escala del proyecto, que deberá adaptarse
a la necesidad y posibilidades de cada uno, teniendo en cuenta múltiples
aspectos, entre los cuales podemos mencionar:
1) Su instalación:
fijo o portátil.
2) Tipo de montura: altacimutal
o ecuatorial.
3) Uso: observación
visual o visual—fotográfica.
4) Tamaño, peso
y costo total del telescopio.
Estos aspectos están
relacionados entre sí. Un telescopio puede hacerse para instalarse
en un lugar fijo, con una cúpula o casilla como albergue, o puede interesar
que sea portátil, para llevar a sitios de buenas condiciones atmosféricas,
alejados de la iluminación artificial de las grandes ciudades.
Las monturas altacimutales
(con un eje horizontal y otro vertical) son económicas, simples, compactas,
ideales cuando sólo interesa la observación visual. Pero quien
quiera también obtener fotografías astronómicas con algunos
minutos de exposición, deberá decidirse por una montura ecuatorial,
donde uno de sus ejes, el eje polar, deberá orientarse paralelamente
al eje de la Tierra. Esta disposición permite usar un mecanismo de
seguimiento del astro observado, accionado manualmente o a motor eléctrico,
que hace girar el telescopio lentamente a razón de una vuelta cada
23 h 56 m 03.5 seg (día sidéreo). El telescopio gira, entonces
solamente sobre su eje polar, compensando el movimiento diurno de la Tierra
y manteniéndose apuntado al objeto observado. Si además los
ejes del telescopio están provistos de limbos o círculos graduados,
es posible ubicar los objetos celestes por sus coordenadas ecuatoriales, que
es como aparecen en los catálogos. Estos elementos, tan necesarios
para la observación, hacen a la montura ecuatorial más complicada
y costosa.
TAMAÑO DEL
ESPEJO-OBJETIVO
Del diámetro del
objetivo dependerá el alcance o capacidad del telescopio para hacer
visibles astros de menor brillo.
Si tenemos en cuenta
la búsqueda de todos los materiales necesarios para nuestro telescopio,
veremos que resulta antieconómico construir uno de menos de 140 ó
150 mm de abertura. Es por ello que consideramos a éste, como el límite
inferior de diámetro de objetivo para un aficionado.
El límite superior
de abertura no quedaría tan definido. Aparte del presupuesto, la mayor
dificultad está en conseguir un disco de vidrio suficientemente grande,
sin tensiones internas y de un espesor no menor en lo posible de 1/8 de diámetro,
para que no se deforme fácilmente. Pero además, un disco de
30 cm de diámetro y 4 cm de espesor pesa alrededor de 7 kg, mientras
.que uno de 50 cm de diámetro para igual espesor relativo, pesará
más de 32 kg (el peso crece en relación al cubo del diámetro)
y ya escapa al manejo de una sola persona.
EL
TELESCOPIO DE 180 MM DE ABERTURA
Tomaremos en lo que sigue,
como ejemplo de construcción, un telescopio con espejo de 180 mm de
diámetro, adecuado a los tubos de PVC de 200 mm de diámetro
externo, con una pared de 4 a 5 mm de espesor, que venden las casas del ramo
de sanitarios.
El disco de 180 mm puede
cortarse de una plancha de vidrio de 20 mm de espesor como mínimo,
o utilizar un disco fundido en alguna cristalería donde fundan a pedido,
con un espesor de unos 25 mm.
Para herramienta, con
la que trabajaremos el espejo, se necesita otro disco de vidrio del mismo
diámetro, pudiendo ser su espesor de unos 15 mm (espesor mínimo
10 mm).
POSTE DE TRABAJO
El lugar de trabajo necesario
para todas las operaciones a realizar entre espejo y herramienta debe ser
una plataforma cuadrada, horizontal, de madera (de unos 30×30 cm) o redonda
(de 30 a 40 cm de diámetro) y ambas de 3 a 4 cm de espesor, soportada
por una robusta columna o poste vertical a una altura de 95 a 100 cm del suelo.
Esta columna puede hacerse con un caño de hierro de 3 a 4 pulgadas
de diámetro empotrado en el suelo o con una base pesada hecha con una
cubierta de motocicleta llena de hormigón y armadura de hierro de refuerzo.
La parte superior de este poste podrá tener soldados eléctricamente
dos hierros ángulo de 20 cm de largo y pulgada y media de ala, donde
irá atornillada la plataforma de madera.
Otra manera de hacer
la columna se tiene usando un caño de cemento con hormigón,
de unos 84 cm de largo y no menos de 6 pulgadas de diámetro interno.
El interior lleva una armadura longitudinal de 5 ó 6 hierros de 6 mm
de diámetro apoyados en la pared interna. Cada hierro lleva un gancho
en su extremo superior y sobresale 26 cm por debajo del caño, lo que
deberá doblarse hacia afuera, para atarse a los hierros de la base.
Para la base es útil también utilizar una cubierta en desuso,
de motocicleta o de automóvil, con un corte circular como se indica
en la figura 9, quitando el talón superior. Esta cubierta llevará
una armadura compuesta por dos aros de hierro 6 mm, concéntricos y
3 ó 4 hierros diametrales como muestra la figura 9. Hormigonando
la cubierta y luego el caño, tendremos así en pocos días,
un poste de trabajo económico, fuerte y de gran estabilidad, que haciéndolo
rodar, puede llevarse fácilmente a cualquier parte de la casa. En el
extremo superior plano de la columna de hormigón, deben asomar tres
“espárragos” de 3/8 de pulgada, sobresaliendo 25 a 30 mm, para fijar
allí la madera de la plataforma.
Fig. 9 POSTE DE TRABAJO
Las tuercas deben quedar
totalmente embutidas en la madera. Esta tabla debe estar impermeabilizada
con dos manos de esmalte sintético, secas antes de la colocación
y una tercer mano después de colocada. En la fig. 9 se muestra la herramienta
colocada en el centro de la tabla, fijada con cuatro tacos de madera atornillados.
Entre la madera y la herramienta se colocará un disco de goma sintética
de 4 mm de espesor, de 180 mm de diámetro, porque es fundamental lograr
un asiento uniforme del disco de vidrio.
También puede
usarse un disco de goma esponja de 10 mm de espesor si la madera no fuera
bien plana. La herramienta debe sobresalir unos 4 mm sobre los topes de madera.
En caso de optar por la columna hormigonada, deberá transcurrir un
lapso de unos 10 a 15 días después del hormigonado, antes de
trabajar en ella.
ABRASIVOS
Debemos proveernos de
los siguientes abrasivos en polvo, cuidando especialmente de que los granos
más gruesos no contaminen los envases de granos más finos:
500 g de carburo
de silicio N° 70
200 g de carburo de silicio
N° 150
100 g de carburo de silicio
N° 220
100 g de carburo de silicio
N° 3F
75 g de esmeril fino
N° 12
5O g de esmeril extrafino
N° 5
A efectos de evitar desprendimientos
de pequeños trozos de vidrio del borde de los discos, durante el trabajo
con los abrasivos, es necesario hacer un bisel a 45° en los bordes de
las dos caras de vidrio que se trabajan. Esto se logra desbastando a mano
con una piedra de esmeril o de carburo de silicio N° 220, cuidando que
los movimientos sean en dirección tangencial, es decir, en la dirección
del borde y no perpendicularmente a él. Este bisel debe mantenerse
en todo el curso del esmerilado y es suficiente con un ancho de 1 mm.
DESBASTADO
Esta operación
tiene por objeto dar al disco de vidrio una forma aproximada a la del espejo
terminado, con el radio de curvatura adecuado.
Partiendo de los discos
de vidrio con caras planas, debe obtenerse en el disco del futuro espejo una
cara cóncava, cuyo radio de curvatura R sea igual al doble de la distancia
focal f deseada. En la herramienta se formará una superficie convexa
del mismo radio de curvatura. Todo el desbastado se hace con el abrasivo de
grano más grueso y cuando se ha llegado a un radio de curvatura algo
superior al definitivo (1% o 2% mayor), se da por finalizada la operación
de desbastado, pues se sabe que el radio de curvatura se acortará algo
más con los siguientes abrasivos con que se prosiga el esmerilado.
MOVIMIENTOS PARA EL
DESBASTADO
Biselados los bordes
de las caras y con la herramienta fijada sobre el poste de trabajo, echamos
una cucharadita de abrasivo N° 70 (carburo de silicio o carborundo), agregando
tres cucharaditas de agua.
Colocamos el disco—espejo
sobre la herramienta, de modo que su centro quede a 2 cm del borde de la herramienta
y comenzamos a frotar el espejo sobre la herramienta, según el movimiento
que se indica en la figura 10 y que, para su mejor comprensión, lo
descomponemos en otros tres más simples, que son
1. Un movimiento de vaivén
del espejo, con una amplitud entre extremos de aproximadamente D/3. Durante
este movimiento, el centro del espejo se mantiene apartado del centro de la
herramienta, a la distancia d, como muestra la figura 10. Por esto se llama
carrera con desplazamiento.
F1O. 10 carrera con
desplazamiento
2. Un movimiento de rotación
del espejo sobre su centro. Como el espejo se maneja con ambas manos, este
movimiento y el (1) pueden hacerse simultáneamente. Para ello basta
empujar el espejo con la mano izquierda y acercarlo a nosotros con la mano
derecha. En cada oscilación girará también cierto ángulo.
3. El tercer movimiento
se logra caminando alrededor del poste, o sea del centro Ch de la herramienta.
Estos tres movimientos
se hacen simultáneamente y se tarda más tiempo en describirlos
que en aprenderlos, pues en pocos minutos los haremos en forma completamente
automática, es decir mecánicamente. Es necesario, sin embargo,
fijar aproximadamente algunos valores.
El desplazamiento d puede
ser variable, pero comenzaremos con d = 0.4 D (o sea el 80% del radio
del disco).
La amplitud en el movimiento
es en nuestro caso de unos 7cm.
Veamos las velocidades
con que interviene cada movimiento: El movimiento 1 puede tener una frecuencia
de 1 oscilación (ida y vuelta) por segundo. En el 2, el espejo dará
una vuelta en unos 15 o 20 segundos y para el movimiento 3, daremos una vuelta
alrededor del poste cada minuto y medio, más o menos.
Al comenzar el trabajo
con el abrasivo de grano 70, notaremos que se produce un ruido más
intenso, que va disminuyendo a medida que avanza el trabajo y al cabo de 2
o 3 minutos, se reduce notablemente, lo que nos indica que ya se han molido
todos los granos. Debemos entonces retirar el espejo, sacándolo horizontalmente
hacia un costado de la herramienta. Hemos terminado así lo que en la
jerga artesanal se llama una “mojada”. Podemos hacer cuatro o cinco mojadas
más del mismo modo, agregando en cada una 1 cucharadita de carburo
de silicio N° 70 y el agua necesaria, y repitiendo los mismos movimientos.
En las siguientes mojadas
debemos alternar la descripta carrera con desplazamiento con otro tipo de
carrera llamada centro sobre centro o carrera normal,
donde en cada oscilación el centro del espejo pasa por el centro de
la herramienta (fig. 11 ).
En la carrera normal
la amplitud del movimiento oscilatorio 1 puede ser mayor que en la carrera
con desplazamiento, llegando a D/2 y hasta 2D/3.
F11 Los tres movimientos
en la carrera normal.
Las carreras con desplazamiento
producen una fuerte abrasión en el centro del espejo y en el borde
de la herramienta, llevando rápidamente los discos a la forma que muestra
la figura 12
Fig. 12 efecto del
desbastado al comenzar, usando carreras con desplazamiento.
En cambio, con las carreras
normales se avanza más lentamente, pero las caras tienden automáticamente
a la forma esférica, pues es la forma que permitirá mantener
el contacto en todos los puntos de la superficie cuando se realice el triple
movimiento de las carreras normales.
Seguimos entonces el
desbastado, alternando una mojada de carreras con desplazamiento con otra
mojada de carreras normales.
Continuamos así
durante una hora y entonces ya es prudente tomar una medida del radio de curvatura
del espejo.
MEDIDA DEL RADIO DE
CURVATURA
Veremos cómo podemos
medir el radio de curvatura del espejo con métodos mecánicos
y ópticos.
En un taller de óptica
los radios de curvatura se miden con un instrumento llamado esferómetro.
Nosotros podemos emplear un método que consiste en medir la flecha
j
del espejo para una cuerda igual a un diámetro óptico D. Se
trata de calcular previamente qué flecha tendrá nuestro espejo
con el radio de curvatura elegido. Si llamamos r al radio del disco del espejo
que tomaremos igual a D/2, la flecha está dada por la fórmula
j
= r2 /2R
Fig.
13 Determinación del radio de curvatura por medición de la flecha
j
En nuestro caso j
= 902/(2×2400)
= 1,69 mm
Calculada así
la flecha buscamos alguna aguja gruesa que tenga ese diámetro, medido
con un tornillo micrométrico, en algún punto cercano a la punta.
Cortamos a la aguja por allí y colocamos el trozo sobre el espejo apoyado
sobre la mesa, de modo que el extremo que mide 1,69 de diámetro quede
en el centro del espejo. Luego colocamos una regla metálica de canto,
sobre puntos diametrales del borde del espejo y perpendicularmente al trozo
de aguja. La regla metálica debe apoyar en un borde del espejo y en
la aguja, pero no en los dos bordes simultáneamente. Esto significa
que la flecha obtenida es aún insuficiente. Si la regla tocara en los
dos bordes y no en la aguja, tendríamos una flecha excesiva y habríamos
cavado demasiado el espejo. Este método nos dirá cuándo
tenemos la flecha correcta, que corresponderá con el radio de curvatura
deseado. Siempre podremos medir la flecha utilizando algún otro punto
de un trozo de la misma aguja y el tornillo micrométrico. Conocida
la flecha medida, podemos calcular el radio de curvatura correspondiente.
R
= r2 /2 j
Si la flecha medida es
menor que la buscada, el espejo tendrá aún un radio de curvatura
mayor y debemos seguir con carreras centro sobre centro si ya estamos muy
cerca o, como antes, con mojadas alternadas si aún falta bastante para
alcanzar la concavidad deseada. De todos modos es conveniente, en el desbastado
con el grano más grueso, darlo por terminado cuando se ha llegado al
96 o 97% de la flecha prevista. Al usar los siguientes abrasivos aumentará
algo más la flecha y llegaremos cómodamente al valor fijado.
Si nos hubiésemos
excedido en el desbastado y la flecha fuese algo mayor, calcularíamos
el radio de curvatura correspondiente y deberíamos decidir si nos quedamos
con un telescopio de distancia focal algo menor o si persistimos en el valor
de f elegido al comienzo. Si resolvemos volver atrás, debemos trabajar
con espejo abajo y herramienta arriba, con carreras normales y podríamos
aprovechar para cambiar de abrasivo, pasando a usar el N° 150.
Antes de pasar a un grano
de abrasivo más fino, es necesario una cuidadosa limpieza, con agua
y cepillo, de la herramienta, del espejo, de los tacos y la mesa, para eliminar
todo resto de grano grueso. Esto debe repetirse cada vez que cambiemos de
grano.
Veremos también
dos métodos ópticos para medir el radio de curvatura del espejo.
Es conveniente usar desde el principio un soporte del espejo construido con
cuatro maderas, dos planchuelas y algunos tornillos (fig. 14 ).
Detrás del respaldo
del espejo se ve parte de un tornillo que sirve de tercer punto de apoyo regulable,
para colinar un poco el espejo hacia adelante o hacia atrás.
Se coloca el espejo en
el soporte, con su cara cóncava bien mojada para que refleje la luz.
Debemos entonces situarnos delante del espejo a unos 2 m de distancia, provistos
de una linterna de bolsillo que colocamos junto a nuestro ojo y con la cual
iluminamos el espejo. Observando el reflejo de la linterna en el espejo, la
desplazamos hacia un costado y observamos hacia qué lado se desplaza
su imagen reflejada. Si ésta se desplaza en el mismo sentido que la
linterna, es porque estamos dentro del radio de curvatura del espejo. Repetimos
la operación varias veces, alejándonos unos 20 cm cada vez.
Llegará un momento en que, para un desplazamiento de la linterna hacia
la derecha, por ejemplo, la imagen que vemos reflejada se desplazará
hacia la izquierda. En ese caso estaremos ya fuera del centro de curvatura
del espejo. Buscando una posición intermedia, hallaremos un punto en
el cual, al desplazar la linterna pocos centímetros, todo el espejo
se oscurece simultáneamente. Si el foquito de la linterna y nuestro
ojo están a la misma distancia del espejo, esa distancia será
el radio de curvatura del espejo.
También podemos
emplear otro método que nos dé la distancia focal directamente.
Debemos colocar el espejo bien mojado de cara al Sol. Con una tarjeta blanca
buscamos la imagen del Sol dada por el espejo. Esta imagen, imperfecta, será
un circulo muy brillante. La sombra de la tarjeta, proyectada sobre el centro
del espejo, nos ayudará para alinear el eje del mismo, dirigiéndolo
hacia el Sol. En el momento en que este circulo aparece más brillante,
pequeño y mejor definido, estaremos en el foco del espejo. Al medir
la distancia tarjeta-espejo se tendrá así la distancia focal
del espejo medida, que será igual a la mitad del radio de curvatura.
Comparándola con la distancia focal f deseada, sabremos cómo
proseguir con el desbastado.
ESMERILADO
Cuando nos hemos acercado
suficientemente al radio de curvatura deseado, damos por terminado el desbastado
y después de una cuidadosa limpieza de toda la instalación,
incluyendo nuestra ropa y manos, pasamos a la segunda etapa del trabajo, que
es el esmerilado. Para ello usamos el segundo número de grano (N°
150).
El esmerilado es la operación
que tiene por objeto borrar los pozos que ha dejado el grano anterior más
grueso y comprende el uso de los cuatro o cinco abrasivos de grano más
fino que siguen.
Las mojadas serán
de unos 5 minutos, agregando agua si se forma una pasta muy seca, o lavando
espejo y herramienta con agua. En todo el esmerilado se empleará la
carrera normal con una amplitud entre D/3 y D/2.
Cada dos o tres mojadas
con espejo arriba, es conveniente hacer una con espejo abajo. Esto ayuda a
que la zona del borde del espejo no se retrase respecto del centro en el esmerilado
y evita que el radio de curvatura se acorte demasiado.
Después de trabajar
una hora con el grano 150, debemos lavar y secar todo, verificando siempre
que se mantenga el bisel en la herramienta y en el espejo. Luego se ilumina
el espejo con una lámpara clara y potente y se observa la superficie
esmerilada, aplicando delante del ojo una fuerte lupa o un ocular positivo
de poco aumento. Los oculares positivos permiten ser usados como lupas,
acercándolos al objeto a observar hasta 5 o 10 mm, o más, si
son de poco aumento. Debemos comprobar que la superficie presenta un esmerilado
uniforme, sin pozos más grandes, que pueden aparecer si falta
aún esmerilar.
Luego se pasa a los abrasivos
siguientes: 220 y FFF (o 3F). Se trabaja una hora con cada uno, siempre inspeccionando
con la lupa para decidir si podemos pasar de un grano al siguiente más
fino.
ESMERILADO FINO
Después de trabajar
con el carborundo 3F durante una hora, se hace una cuidadosa inspección
de la superficie con la lupa, buscando restos de los pozos hechos por los
abrasivos anteriores. Si la superficie se ve uniformemente lisa, se hacen
los lavados correspondientes al cambio de grano y se pasa a trabajar con el
esmeril fino.
Los esmeriles fino y
extrafino tienen distinta denominación, según la procedencia.
En el taller de óptica de esta Facultad se usan los esmeriles MICROGRIT
Nos. 12 y 5, de color blanco con granos de 12 y 5 micrones respectivamente.
Otros llevan la denominación 302, 303 y 303 1/2 y a veces las casas
ofrecen como equivalentes a fino y extrafino los denominados 700 y 1000, respectivamente.
Antes de pulir, debemos
trabajar aún una hora con el esmeril fino y otra con el extrafino,
con carrera normal de D/3 y mojadas de unos 10 minutos, agregando agua cuando
las superficies tiendan a secarse demasiado para evitar que los discos
se peguen. Es conveniente también intercalar mojadas con espejo abajo,
para lograr una mayor uniformidad en el esmerilado.
Los discos no deben pegarse
en ningún caso, por lo que hay que mantener mojadas las superficies.
Pero si ello ocurriera se deberá actuar con gran precaución,
para evitar que se dañen las caras esmeriladas: habrá que sumergirlos
en agua tibia y ejercer moderada fuerza para separarlos.
PREPARACIÓN
DE LOS ESMERILES
Los polvos de esmeril
no se usan tal como vienen, sino que es necesario decantarlos para separar
el esmeril más grueso y las partículas extrañas que pudieran
contener. Para ello se echan unas 4 ó 5 cucharadas de esmeril en un
frasco de 500 cm3, agregando 250 cm3 de agua. Se agita durante unos segundos
y se deja el frasco en reposo durante 10 segundos. Luego se vierte el líquido
en suspensión (cuidándose de no perturbar lo sedimentado en
el fondo) en un pote u otro frasco de boca ancha, que es lo que usaremos.
Pero si queremos espesarlo, se deja decantar durante una hora y se tira la
mayor parte del agua sobrante. Con lo que queda en el pote se procede a esmerilar,
utilizándolo como hicimos con los carborundos.
Con el esmeril extrafino
hacemos lo mismo; las últimas mojadas las podemos hacer decantando
el esmeril 20 segundos (en lugar de 10) y procediendo análogamente.
Luego de estos trabajos,
el espejo debería estar en condiciones de ser pulido. Esto se verifica
de la siguiente manera: si el espejo tiene el dorso pulido y lo apoyamos sobre
un diario, con la cara esmerilada hacia arriba, debemos poder leer las letras
pequeñas conque aparecen las noticias generales.
Terminado el esmerilado
fino debemos lavar cuidadosamente toda la instalación con cepillo y
jabón, cuidando de que no se resbalen los discos de vidrio, los que
pueden lavarse en una pileta cuyo fondo haya sido cubierto por un trozo de
alfombra de goma, para evitar los golpes contra superficies duras.
PULIDO
En el desbastado y el
esmerilado la herramienta que usamos es de vidrio, frotando un disco contra
el otro e interponiendo polvo abrasivo y agua. El pulido, en cambio, se hace
con herramienta de brea vegetal especial, que es la mejor, o bien con brea
asfáltica mezclada con resina plastificada. La base de la herramienta
de pulido es la misma herramienta de vidrio, cuya cara convexa se cubre con
una capa de brea de 2 a 5 mm de espesor.
Mediante la operación
de pulido se le devuelve a la cara trabajada la transparencia total que tenía
cuando, al comenzar, era una superficie plana.
EL POLVO DE PULIR.
PREPARACIÓN
Es un polvo impalpable
que puede comprarse donde adquirimos los abrasivos. Con 100 gramos podremos
pulir varios espejos. El más común es el óxido de
cerio, uno de los que pulen con mayor rapidez. Puede usarse también
el óxido férrico que se consigue en droguerías con el
nombre de ferrite rojo. Es mucho más barato que el óxido
de cerio y da un pulido más fino, pero es más lento para pulir.
En nuestro taller usamos además un polvo blanco con el nombre comercial
de “Batelite”.
Es prudente no usar el
polvo de pulir directamente sino que debemos decantarlo, como hicimos con
los esmeriles, pero dejando reposar el frasco 20 segundos en lugar de 10.
El agua con el polvo en suspensión la vertemos en otro frasco de boca
ancha y después de algunas horas tiramos casi toda el agua sobrante.
Mediante un pincel pequeño vamos tomando de este frasco la cantidad
que necesitamos durante el proceso de pulido.
PREPARACIÓN
DE LA BREA
La brea vegetal de color
negro o marrón oscuro no es fácil de conseguir, y menos la especial
para óptica. La brea para pulir debe reunir ciertas condiciones: 1)
debe ser homogénea y libre de impurezas; 2) debe tener un alto grado
de plasticidad y un bajo grado de elasticidad y 3) su dureza en frío
deber ser adecuada.
El asfalto sólido
que venden en los corralones para juntas de dilatación, tiene demasiada
elasticidad e insuficiente plasticidad. Tendremos una idea de estas propiedades
fundiendo una barrita del material (de 60x10x5mm).
La brea con propiedades
elásticas tiende a enderezarse cuando doblamos esta barrita con los
dedos, mientras que la brea plástica queda doblada en el ángulo
con el cual la dejamos. Si se quiebra, puede ser demasiado dura. La dureza
debe ser tal que apenas quede la marca de la uña al presionar la superficie
de la brea con una fuerza de un kilogramo.
La plasticidad de una
brea mineral puede aumentarse mezclándola con resina, a la que se le
haya agregado un 10% o más de aceite de ricino o aceite de lino crudo
(resina plastificada). La proporción entre esta resina plastificada
y la brea mineral o asfalto sólido puede ser en partes iguales o con
menor proporción de brea, lo que es necesario probar. Algunos aficionados
han usado solamente resina plastificada mientras que otros sólo brea
mineral. El comportamiento de estas sustancias no es el mismo y los controles
ópticos de la forma del espejo acusan esas diferencias.
La dureza se aumenta
hirviendo la brea durante cierto tiempo, por evaporación de sustancias
volátiles. Se disminuye la dureza agregando pequeñas cantidades
de aguarrás cuando la brea se halla fundida, lejos del fuego, y revolviendo
rápidamente para evitar que se evapore el aguarrás antes de
mezclarse. Se puede llegar así a una brea de características
adecuadas.
Es conveniente finalmente
colar la mezcla definitiva, bien caliente, en un jarro limpio, mediante una
malla metálica fina.
PREPARACIÓN
DE LA HERRAMIENTA
Habiendo limpiado cuidadosamente
la herramienta, se la apoya sobre la mesa encima de un cartón grueso
y más grande, con la cara convexa hacia arriba, rodeándosela
con una cinta de papel grueso de unos 3 cm de ancho fijada con una banda elástica,
de modo que sobresalga aproximadamente 1 cm sobre el borde del disco (fig.
15). Es preferible entibiar la herramienta colocándola a pleno
sol o en el horno de la cocina al mínimo, siempre con el cartón
debajo y el papel alrededor, durante 2 o 3 minutos.
Cinta de papel
Banda elástica
Cartón o “chapadur”
Fig.
15: La herramienta de vidrio lista para recibir la brea
Hay que evitar los enfriamientos
bruscos del vidrio, porque al ser vidrio común puede romperse. Se coloca
la herramienta sobre el poste de trabajo y se le vierte parte de la brea fundida
hasta que se forme una capa de unos 5 mm de espesor. Al cabo de uno o dos
minutos se quita la banda de papel y se aplica el espejo mojado sobre la herramienta,
apretando fuertemente y moviéndola para que la capa de brea se adapte
a la forma del espejo.
Se determina el centro
de la torta de brea y con la herramienta especial, que llamamos “arado” (fig.
16), calentada en un mechero de gas, se corta una serie de surcos paralelos.
La temperatura alcanzada por el arado sólo permite cortar uno o dos
surcos por vez, antes de enfriarse. Al volver a calentar el arado se encenderá
la brea adherida y debemos apagar la llama para que no se formen residuos
carbonizados.
Fig.
16 “Arado”
El centro de la herramienta
de brea se marca para que ningún surco vaya a pasar por allí,
así como para que tampoco quede ese punto, justo en medio de dos surcos.
Debemos evitar las simetrías para que luego no aparezcan defectos zonales
concéntricos en la forma del espejo. Calentando el arado para cortar
cada surco, hacemos la otra serie de surcos perpendiculares a los primeros.
La distancia entre surcos debe ser de 15 a 22 mm quedando la herramienta de
brea como muestra la figura 17.
Fig.
17 Cuadriculado de la herramienta de brea
Si hemos elegido bien
la posición de los surcos respecto del centro del disco, este punto
no deberá quedar ni en un surco, ni en el medio de dos surcos, ni en
la diagonal de un cuadrado.
Los surcos tienen por
objeto: l°) facilitar la adaptación de la brea a la superficie
del espejo y 2°) permitir la libre circulación del agua con polvo
de pulir en toda la superficie.
La profundidad de los
surcos, para ser uniforme, deberá llegar hasta el vidrio. Aunque no
es necesario respetar la igualdad de los pancitos de brea que se forman, si
se prefiere pueden marcarse líneas en la brea para tener una guía
por donde pasar el arado.
Habiendo terminado con
los surcos, se calienta la herramienta a bañomaría hasta unos
45° para que la brea se ablande un poco y se coloca encima el espejo mojado
con agua tibia, apretando fuertemente para que los pancitos de brea se adapten
a la forma. del espejo. Enseguida debemos mover el espejo para que no se pegue
a la brea y luego lo retiramos.
Será necesario
calentar nuevamente la herramienta a 40° C, pintarla con el líquido
de pulir preparado y asentar el espejo ejerciendo presión para completar
la adaptación. Si vemos que los canales de la herramienta se han estrechado
demasiado o cerrado, por efecto del aplastamiento con el espejo, deberemos
reabrirlos con el arado y asentar otra vez el espejo con una nueva capa de
pasta de pulir. Si dejamos el espejo sobre la herramienta durante más
de una hora, al irse evaporando el agua puede pegarse a la herramienta. Para
evitar esto, al agua se le puede agregar glicerina, hasta en un 50%.
De esta forma, se puede
dejar el espejo a temperatura ambiente sobre la herramienta, agregándosele
un peso de 1 ó 2 kg durante unas dos o más horas. Esto mejorará
la adaptación sin estrechar notablemente los canales.
Nunca debe ser la herramienta
de brea mayor que el espejo, para evitar el borde rebajado en la forma del
mismo. Por eso, la brea que desborde el diámetro de la herramienta
se recortará haciendo un bisel pequeño (fig. 17).
Para pulir no se necesita
el agua muy cargada de óxido. Es preferible el agua con poco polvo
en suspensión. Se procede con mojadas de carrera normal y amplitud
de D/3 a D/2. Cuando el agua se va evaporando, favorecida con algo de calor
que genera el pulido, aumenta la resistencia que ofrece el espejo al movimiento.
Es necesario entonces agregar más agua con polvo en suspensión.
Seguimos así hasta cumplir 3 ó 4 hs. de trabajo. Luego sacamos
el espejo, lo lavamos y lo secamos con una toalla limpia.
Con esto habrá
llegado el momento de hacer la primera prueba óptica, que nos permitirá
conocer la forma de la superficie del espejo y medir con precisión
su radio de curvatura.
Esto se realiza con un
sencillo aparato, de fácil construcción, que llamamos aparato.
de Foucault (se pronuncia “Fucó”) por haber sido ideado por el
físico francés Jean Bernard Leon Foucault (1819-1866), constructor
de los primeros espejos-objetivos astronómicos de alta calidad, realizados
en vidrio plateado. El plateado se hacía por vía química,
sobre la cara cóncava del vidrio.
EL APARATO DE FOUCAULT
Es sumamente útil
para conocer la forma de un espejo cóncavo. Después de comenzar
el pulido nos indicará si el espejo es esférico o se aparta
de esta forma. Si queremos obtenerlo de forma parabólica, para alcanzar
la mayor precisión óptica, nos será indispensable tomar
medidas con el aparato de Foucault.
Consta de una estrella
artificial, o sea una pequeña fuente luminosa puntual, que se obtiene
iluminando desde atrás un pequeño orificio circular hecho en
una chapa delgada, de unos 20 a 50 micrones de diámetro, y de una “cuchilla”
o pequeño borde filoso dispuesto verticalmente a un lado y muy cerca
de la fuente luminosa, de la que es solidario. El conjunto estrella—cuchilla
va soportado por una columna de unos 12 cm. de altura apoyada sobre una plataforma
que puede moverse longitudinalmente, mediante un tornillo micrométrico
con tambor graduado, y que también puede desplazarse transversalmente
mediante otro tornillo. Todo este conjunto se desliza sobre guías longitudinales
montadas en una base que apoya en tres puntos sobre una mesa (ver figura 18).
Fig.
18: El aparato de Foucault
Se muestra en la figura
18 un aparato de Foucault de fácil oonstrucoión. La fuente de
luz es un foquito del tipo de linterna de bolsillo o linterna lápiz,
con tensión de alimentación de 1,2 ó 2,2 V, según
sea para una o dos pilas. Estos foquitos tienen una lentilla en el vidrio
de la ampolla que concentra hacia adelante la luz del filamento. El foquito
va ubicado transversalmente en una caja de aluminio y un pequeño espejo
a 45° dirige el haz de luz hacia el espejo a examinar. Este haz incide
sobre un pequeño orificio o ranura existente en una plaqueta junto
oon la cuchilla que asoma en el borde de una ventana rectangular calada en
la plaqueta.
FIG.19 – Plaqueta
con estrella artificial y cuchilla (removible hacia arriba).
Se compone de dos chapas
iguales de aluminio o bronce (fig. 19 ) de 6Ox3Oxl,5 mm, con una ventana de
15×17 mm y un orificio fresado de 2 mm de diámetro. Sobre el borde
de la ventana que está junto al agujero, la cuchilla, hecha con un
trozo de hoja de afeitar que va colocado entre las dos chapas, asoma 2 mm.
Del mismo modo, en el centro del agujero de 2 mm va la estrella artificial,
que puede ser un orificio circular de 20 a 50 micrones de diámetro
practicado en una chapa delgada de aluminio, o bien puede consistir de dos
trozos de hoja de afeitar arrimados, dejando entre las filos una estrecha
ranura de 10 a 15 micrones de ancho y 2 mm de largo, correspondiente al diámetro
del agujero de las chapas. Los tres trozos de hoja de afeitar deben pegarse
con resina epoxi de fraguado lento, y ajustarse al microscopio para que los
tres filos sean rigurosamente paralelos. Esta fuente ilumina mucho más
al espejo que el orificio circular y da gran sensibilidad al método
por su pequeño ancho, pero es más difícil de hacer.
Antes de la estrella
artificial hay que poner un elemento difusor de la luz (vidrio esmerilado
o papel difusor).
El foquito puede alimentarse
con una o dos pilas ubicadas dentro de la columna o con un transformador pequeño.
Columna:
Tubo cuadrado de aluminio (40x4O mm).
Plataforma:
Madera, espesor 22 mm.
Base:
Madera, espesor 22 mm, con tres puntos de apoyo.
Guía
Longitudinal:
Barra circular de acero, rectificada, o tubo de bronce (ø 15
mm).
Piezas
con corte en V:
De bronce de 3 mm de espesor (o acero si se usa tubo de bronoe como
guía).
Guía Plana:
Trozo rectangular de vidrio (80x25x6mm).
Tornillo
de Corte:
Paso 1 mm, ø = 7 a 9 mm. Acero, punta redonda.
Tornillo
de mov. Longitdudinal:
Paso 1 mm,ø = 7 a 9 mm. Acero, punta redonda.
Tambor
Graduado:
Puede tener 10 divisiones como mínimo o 20, 50 y hasta 100 como
máximo.
Resorte
(no visible): De
tracción, ø 8 a l0 mm, largo = 120 mm. Sirve para mantener apoyada
la plataforma contra el tornillo de movimiento longitudinal y quitar el juego
muerto.
EXAMEN DEL ESPEJO
ESFÉRICO CON EL APARATO DE FOUCAULT
Cuando el aparato ya
es capaz de reflejar la luz en toda su superficie y, aunque el pulido no esté
terminado, es posible observar la forma que presenta la cara óptica
mediante un examen con el aparato de Foucault.
Para ello se coloca el
espejo sobre su soporte y frente a él se instala el aparato, de modo
que la distancia entre el espejo y la estrella artificial sea igual al radio
de curvatura del espejo, y se orientan las guías de desplazamiento
longitudinal de su plataforma paralelas al eje óptico del espejo. En
estas condiciones, la luz que emerge de la fuente luminosa debe llegar uniformemente
a todo el espejo y a su alrededor.
Si quitamos la pieza
que contiene al pequeño orificio que limita la luz, llegará
al espejo un cono de luz visible y, mediante una pantalla blanca, podremos
encontrar el cono de luz reflejado por el espejo, buscándolo alrededor
de la fuente de luz. Debemos accionar el tornillo del soporte del espejo y
moverlo en acimut para que la luz reflejada por el espejo se concentre sobre
el filo de la cuchilla. Colocada nuevamente la estrella artificial, su imagen
dada por el espejo, caerá muy cerca de la cuchilla. Ubicando el ojo
detrás de ella mirando al espejo, puede ocurrir que lo veamos todo
iluminado. Si así no sucediera, variaremos la posición del ojo
girando la perilla del tornillo de corte del aparato de Foucault en sentido
antihorario, hasta que aparezca el espejo iluminado. Este movimiento del tornillo
hace desplazar la cuchilla hacia la derecha, girando alrededor de la barra-guía.
Si, cuando vemos el círculo
del espejo uniformemente iluminado, giramos el tornillo de corte en sentido
horario, la cuchilla K (con la estrella artificial solidaria) se desplazará
hacia la izquierda y comenzará a cortar el cono de luz que concurre
a formar la imagen S’ de la estrella artificial; y, entonces, puede
suceder:
1) Que veamos desplazar
una sombra que va cubriendo el espejo de derecha a izquierda, en el mismo
sentido de avance de la cuchilla .(fig. 20 A).
2) Que veamos la sombra
que va cubriendo el espejo de izquierda a derecha, en sentido contrario al
avance de la cuchilla (fig. 20 B).
3) Que veamos oscurecer
simultáneamente todo el espejo, en forma uniforme y brusca (fig. 20
c).
LAS TRES SITUACIONES
DE UN ESPEJO ESFÉRICO
Fig. 20. Aspectos
del corte del cono de luz en el aparato de Foucault.
En el primer caso, el
plano que contiene a la estrella y a la cuchilla estará más
cerca del espejo que su centro de curvatura C.
En el segundo caso dicho
plano estará más lejos del espejo que C.
En el tercer caso, cuando
sea imposible asegurar de qué lado entra la sombra, el plano cuchilla-estrella
pasará por el centro de curvatura C.
Estos casos se presentarán
cuando el espejo tenga forma esférica. Pero si el espejo tuviera, por
ejemplo, una zona anular levantada junto al borde, como se ve en la :figura
21A, su aspecto, observado con el aparato de Foucault, sería el que
muestra la misma figura (21 B).
FIG.21
En la siguiente figura
21C se muestra cómo se reflejan los rayos en la zona central esférica
del espejo y en la zona levantada, según la inclinación de las
pendientes en sus flancos. En I se forma la imagen de E que da la parte central
esférica, donde se encuentra el filo de la cuchilla. A I’ concurren
los rayos reflejados por el flanco derecho de la zona levantada, que son interceptados
por la cuchilla y no pasan al ojo. Por esa razón se ve como zona oscura
dicho lado del anillo levantado. En cambio, el otro flanco de ese anillo levantado,
el izquierdo, se ve iluminado, dado que los rayos allí reflejados concurren
a I” y entran al ojo porque la cuchilla no los corta.
Vemos así que
el aparato de Foucault muestra el relieve, los defectos o los apartamientos
que la superficie de un espejo cóncavo tiene respecto de una forma
esférica perfecta. Si sabemos interpretar las sombras que aparecen
cuando la cuchilla corta el haz reflejado por el espejo, tendremos una idea
concreta cualitativa de la forma de la superficie óptica. Felizmente
esa interpretación se hace inmediata pues es la misma que corresponde
a una superficie plana con defectos cuando es iluminada con luz rasante. La
luz rasante en una pared, por ejemplo, nos muestra abultamientos y depresiones,
si ha sido revocada defectuosamente, que no son visibles con iluminación
normal. Podemos aplicar la misma interpretación en el caso de un examen
de Foucault. Sólo hay que saber que, las sombras que aparecen en un
espejo cuando la cuchilla avanza hacia la izquierda, se corresponden
con el caso de una superficie semejante iluminada con luz rasante desde
la izquierda.
Si esto no se tiene en
cuenta se corre el riesgo de interpretar los defectos del espejo al revés,
tomando por una depresión lo que en realidad es una zona levantada
y viceversa. El ojo solo no puede discernir cuál de las dos interpretaciones
es la válida. Es necesario razonar en nuestro caso, basándonos
en la figura 21 C. La práctica sobre el tema terminará de afianzar
estos conceptos.
Si no se han descuidado
las observaciones hechas sobre el apoyo de la herramienta y el espejo sobre
un disco de goma, y se han respetado las velocidades de los movimientos, los
defectos que puede presentar un espejo sólo serán de revolución.
Esto significa que tendrán una simetría con eje en el eje óptico,
o que la forma de la sección meridiana será la misma para cualquier
diámetro.
Para conocer cuantitativamente
el valor altimétrico de una zona defectuosa debemos medir el espejo
con el aparato de Foucault, como veremos al tratar del parabolizado.
El espejo suele pulirse
antes en el centro que en el borde. Para que el borde no quede atrasado es
conveniente pulir cierto tiempo con espejo abajo, apoyándolo sobre
el disco de goma, con carrera normal de D/3.
Entre 1/3 y la mitad
del tiempo de pulido conviene hacerlo en esta forma. El tiempo total de pulido
no será menor de 5 o 6 hs. usando el polvo de pulir más rápido,
y unas 8 hs. usando el óxido férrico.
El pulido se dará
por terminado cuando, observando el espejo con la lupa frente a una luz intensa,
no muestre el menor rastro de los abrasivos anteriores.
PARABOLIZACIÓN
DEL ESPEJO
Es un trabajo delicado
que se logra en minutos mediante un Pulido adecuado. Decimos pulido
porque se hace con la herramienta que usamos para pulir, dado que la cantidad
de vidrio a sacar es sumamente pequeña, tan pequeña que casi
todos los aficionados se pasan de la forma parabólica y llegan a formas
hiperbólicas, de las cuales es mucho más difícil regresar.
Por eso debemos prestar mucha atención y medir el espejo con suficiente
frecuencia con el aparato de Foucault. Desde que partimos de la forma esférica,
a los cinco minutos de trabajo deberíamos hacer el primer control.
MOVIMIENTOS PARA
PARABOLIZAR
Trabajando
con espejo arriba hacemos el triple movimiento siguiente:
FIG.
22
El centro del espejo
debe moverse según el recorrido indicado por la línea quebrada
(1) , desde el punto A hasta el B.
Simultáneamente
debemos, como antes, girar el espejo sobre centro (flecha (2) y caminar alrededor
del poste según la flecha (3), con velocidades similares a las ya indicadas.
El movimiento (1) comienza
con pequeña amplitud y al pasar centro sobre centro adquiere la máxima
amplitud 4/5D para luego decrecer hasta llegar a B. Haciendo el camino inverso
en la misma forma, se pasa desde B hacia A. Esos tres movimientos se realizan
simultáneamente.
Después de unas
cuatro vueltas al poste (unos cinco minutos) controlaremos el resultado de
este trabajo con el aparato de Foucault.
PANTALLA DE CUATRO
ZONAS PARA MEDIR EL ESPEJO
Teniendo en cuenta que
nuestro espejo tiene D = 180 mm de diámetro y una relación focal
F = 6,66, será suficiente dividir al espejo en cuatro zonas para su
medición. Así nos da la fórmula empírica que empleamos
en nuestro taller
Z
D (mm)0,4
F
donde Z es el número
de zonas. Por lo tanto obtenemos Z 3,74, o redondeando, Z = 4.
Debemos
recortar en un cartón una pantalla como la de la figura 23 , con siete
ventanas.
Fig. 23 TRAZADO DE
LA PANTALLA QUE DIVIDE AL ESPEJO EN 4 ZONAS
(TAMAÑO NATURAL
PARA D 180 mm)
Los radios externos de
las zonas se calculan con otra fórmula empírica
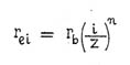
rei = rb(i/Z)n
donde rei el radio
externo de la zona i, rb es el radio del borde del espejo, Z el
número de zonas.y n un exponente comprendido entre 0,5 y 1,
que tomaremos igual a 0,75.
Tenemos así: re1
= 32; re2 = 54; re3 = 72,6 y rb = 90. El
radio externo de una zona es el interno de la siguiente.
Esta pantalla, colocada
delante del espejo, lo divide en 4 zonas concéntricas. En cada una
de ellas consideramos un radio externo, que son los ya calculados,
y un radio medio (r. ), que es la semisuma de sus radios interno y
externo.
En la práctica
podemos considerar que cada zona pertenece a una superficie esférica
cuyo radio de curvatura Ri puede calcularse con la fórmula
Ri
= Ro + DR
donde Ro es el radio
de curvatura de la zona central. El valor de DR
es el que en realidad nos interesa, que es la diferencia entre el radio de
curvatura de una zona y el de la zona central, es decir, DR
= Ri – Ro.
DETERMINACION DE
LA FORMA DEL ESPEJO
En el caso de un espejo
que no sea esférico, como por ejemplo el parabólico, el radio
de curvatura menor se tendrá en la zona central, junto al vértice
e irá aumentando hacia el borde. Estas diferencias de radio de curvatura
las podemos calcular fácilmente, en función de la distancia
al eje del punto de la superficie considerado (fig. 24 ). Tratándose
de una zona delimitada por las dos ventanas simétricas de una pantalla
de zonas, su diferencia de radio de curvatura respecto del centro del espejo
será (delta R teórico)
DRT
= rm2 / 2R
donde rm es
el radio medio de la zona y R es el radio de curvatura del espejo en su centro.
DRT
será entonces la diferencia teórica o “delta R teórico”.
Fig.
24
USO DE LAS PLANILLAS
DE CALCULO
En la página 64
se muestra una copia de la hoja 1 que se llena en nuestro taller con los datos
de cada espejo-objetivo a construirse y de la pantalla de zonas usada en el
control. Allí aparecen el diámetro del espejo, su radio de curvatura,
su coeficiente de deformación (que en espejos parabólicos vale
-1) y la relación focal. Luego aparecen los datos de la pantalla zona
por zona y el cálculo de los DRT
y los DRT
referidos a la
zona 1. Estos últimos se obtienen de los anteriores restando a cada
uno el valor correspondiente a dicha zona. Completan la hoja los valores de
K calculados que, por ser muy pequeños, aparecen con la 5 coma corrida
cinco lugares a la derecha (x105). Estos valores de K se transportan
a la primera fila de la hoja 2 y los DRT
, referidos a zona 1, son llevados a la fila quinta de la hoja 2.
Debemos ahora comparar
los valores teóricos calculados (DRT)
con los medidos en el espejo (DROB),
para deducir la forma de la superficie óptica.
El aparato de Foucault
nos permite medir esos valores de DR
que llamamos DROB
(“delta R observado”). Para ello instalamos el espejo en su soporte y frente
a él, a la distancia R, colocamos el aparato de Foucault. Alineado
el conjunto, colocamos la pantalla de zonas sobre el espejo cuidando de centrarla
bien, y buscamos con el Foucault la posición longitudinal del centro
de curvatura de la
zona central del
espejo (zona I). Estaremos en ese punto cuando, cortando el haz con la cuchilla,
la zona central se oscurezca uniformemente en todos sus puntos. Tomamos la
lectura y anotamos en la planilla (hoja 2) la posición de la plataforma
que es indicada por una regla milimetrada (no representada en el dibujo) y
por el tambor graduado, respecto de un índice fijo a la plataforma
(tampoco representado en el dibujo de la fig. 18). A partir de esta lectura
debemos cuidarnos de no golpear ni mover la mesa ni el aparato de Foucault,
porque las lecturas siguientes estarán relacionadas con la primera
y entre sí, mediante medidas que se leerán al centésimo
de milímetro. Tampoco debemos apoyarnos sobre la mesa del aparato.
Si no tenemos en cuenta estas precauciones las lecturas serán erróneas.
Pasamos luego a la zona
siguiente (zona 2). Alejando una fracción de milímetro la Plataforma
del espejo mediante un giro del tambor hacia la izquierda (sentido antihorario)
buscamos la posición longitudinal para la cual las dos ventanas de
la zona 2 se oscurecen simultáneamente y con igual aspecto, al accionar
el tornillo de corte. Hallado ese punto tomamos la nueva lectura del tambor
que da la posición de la plataforma y la anotamos también en
la planilla donde dice “lectura Foucault”.
Repetimos lo mismo para
las zonas 3 y 4.
Estimaremos el centésimo
de mm. si el tambor está dividido en 10 ó 20 partes.
Tendremos así
cuatro lecturas que anotaremos en la segunda línea (hoja 2), abajo
de los valores de K, a la centésima de mm. Luego, a cada una de las
lecturas le restamos el valor de la primera y tenemos un nuevo grupo de cuatro
valores donde el primero será cero. Estos valores serán los
DROB,
que anotaremos en la fila correspondiente. Le sigue a continuación
la fila de los DRT–
DROB
anotados y luego tenemos la fila de los errores e =
DRT–
DROB.
Calculamos esa diferencia
y la anotamos en la sexta fila con su signo. Algunos de estos valores serán
positivos y otros negativos o todos positivos o todos negativos. Es conveniente
que valores positivos y negativos estén más o menos equilibrados.
Si no lo estuvieran, tenemos derecho a agregarles una misma cantidad c cada
uno, positiva o negativa, para que no predominen ni los positivos ni los negativos.
Esta operación matemática tan simple tiene un significado óptico
muy importante: nos Permite elegir la parábola teórica de
referencia más parecida al estado de nuestro espejo.
Es práctico elegir
como parábola de referencia aquella que, siendo tangente en el vértice,
pasa por el borde del espejo controlado, pero puede ser también alguna
próxima a ésta.
Los errores e
adicionados de
esa constante elegida, pasarán a llamarse e
(errores corregidos)
y se consignarán en la fila siguiente: ec = e+c.
Por último, tenemos
la fila de las pendientes s obtenidas del producto e
por K. Siendo los
valores de S, muy
pequeños, también se anotarán con la coma corrida cinco
lugares a la derecha (x105), cosa que habrá que tenerse
en cuenta a la hora de los cálculos. Las pendientes s
son ángulos
muy pequeños, formados entre la pequeña porción de superficie
de espejo que descubre una ventana y la misma porción de superficie
del paraboloide elegido como referencia. Estos pequeños ángulos
se consideran en el plano que contiene al eje óptico y al eje entre
las ventanas de la pantalla.
Conocida la pendiente
de error en cada zona del espejo es posible reconstruir gráficamente
su forma, obteniéndose el perfil de su semi-sección meridiana.
Para que ello sea válido, el espejo sólo debe presentar defectos
de revolución, con eje de simetría en el eje óptico.
Siendo así, se obtendrá la misma forma para cualquier diámetro
que se considere, y esto es lo que puede esperarse si se han seguido correctamente
las indicaciones dadas en todas las etapas del trabajo.
CÓMO TRAZAR
LAS PENDIENTES
Las cuatro pendientes
s calculadas
y anotadas en la última fila de la planilla de hoja 2 permiten trazar
una poligonal de cuatro lados, que representará la forma de la semi-meridiana
del espejo. Las pendientes miden el error de inclinación de cada zona
y son ángulos tan pequeños que, para poder representarlos debemos
aumentarlos proporcionalmente 100.000 veces o más. Un espejo ópticamente
perfecto tendría pendientes iguales a cero en cada una
de las zonas y su semi-meridiana representada sería un segmento de
recta coincidente con el eje horizontal de las abscisas. Las pendientes s
son en realidad
las tangentes trigonométricas de esos pequeños ángulos
y sus valores, como ya se mencionó, aparecen con la coma corrida cinco
lugares a la derecha para no escribir tantos ceros, lo cual queda aclarado
con el factor 105 que se indica junto a la primera casilla. Ello
equivale a multiplicar esos valores por 100.000, de modo que, tomándolos
como figuran, podrían representarse directamente, considerándolos
como las tangentes de los ángulos que las pendientes tendrían
en la representación gráfica.
Pero los valores de esos
ángulos no nos interesan pues es más fácil dibujarlos
por medio de sus tangentes, directamente.
La hoja 2, donde anotamos
las pendientes calculadas, tiene en su mitad inferior una parte rayada destinada
a la representación gráfica de la semi-meridiana del espejo.
Estas líneas horizontales están separadas 10 mm entre sí
y, según la escala elegida, representarán cierto valor
altimétrico en el eje de coordenadas.
FIG.
25 TRAZADO DE LAS VERTICALES QUE DELIMITAN LAS ZONAS (hoja 2).
Lo primero que debemos
hacer es considerar que el centro del espejo está sobre el margen izquierdo
de la hoja y trazar tantas paralelas al mismo como zonas tengamos. La primera
paralela se trazará a la distancia re1
del margen, la
segunda a la distancia re2
, y así
sucesivamente. El espacio entre paralelas corresponderá a los anchos
de las zonas, hasta llegar al borde del espejo.
Comenzamos el trazado
eligiendo un punto de origen sobre el margen izquierdo, que representará
el centro del espejo. Desde allí arrancará nuestra poligonal.
Cada lado se extenderá
a todo el ancho de la zona correspondiente, y, el primer lado se extenderá
sobre el radio externo de la primera zona.
Dado que todos los pequeños
ángulos mencionados tienen un lado horizontal dirigido en el sentido
positivo del eje de las abscisas, para representar esos ángulos recurrimos
al valor de su tangente o sea al valor de su pendiente, anotada
como s. Por ejemplo, si tenemos una pendiente anotada s = 0,18, para trazar
el ángulo a
correspondiente dibujamos un triángulo rectángulo que tenga
a 100 mm como cateto mayor y 18 mm como cateto menor.
Fig.
26
El ángulo a
correspondiente quedará así definido y dibujado al trazar la
hipotenusa del triángulo. Esto debemos hacer en cada zona para trazar
el perfil del espejo. Notemos que, al ignorar el factor 105 con
que anotamos s, estamos multiplicamos las pendientes del espejo por 100.0000.
El primer lado inclinado de la poligonal se trazará hasta encontrar
la primera vertical en Ge1.
A partir de ese punto trazaremos el segundo lado y así siguiendo hasta
completar todos los lados consecutivos.
Si el valor de C ha sido
bien elegido para pasar de e a ec, la poligonal terminará
muy cerca del eje horizontal. Si termina mucho más arriba debemos recalcular
tomando un valor de e menor (deberá ser menos positivo o más
negativo).
ESCALA EN EL EJE DE
ORDENADAS
Como tenemos líneas
a 10 mm en la hoja 2, hacemos corresponder 10 mm de la escala vertical con
la pendiente S = 0,10X10-5 sobre el vidrio, tomando una distancia
horizontal a = 100 mm como antes. La
altura h alcanzada
sobre el vidrio con esa pendiente será
h = 5 x a
h
= 0.10 x 10–5 x 100 = 10-4 mm
o sea 0,1 micrón.
Considerando 1 micrón igual a 2 longitudes de onda, se tendrá
h
= 0.2 l
= l/s
La escala será
entonces en este caso: 10 mm en dibujo equivalente 0,2 l
sobre el
vidrio.
EJEMPLO
DE CÁLCULO
Sea un espejo-objetivo
de 180 mm de diámetro y 1200 mm de distancia focal. Calculados el número
de zonas y el radio externo de las zonas llenamos la hoja N° 1, calculando
los radios medios, los DR
teóricos y los valores de K
HOJA
1
Transportamos los valores
de DRT
(referidos a la zona 1) y los valores de K a la hoja 29 completando con las
lecturas en el aparato de Foucault y otros resultados de cálculos ya
explicados. Finalmente trazamos el perfil de la semimeridiana.
HOJA
2
Fig.
27. ASPECTO DE UN ESPEJO PARABÓLICO OBSERVADO EN EL APARATO DE FOUCAULT
FIG. 27:
A) corte próximo
al centro de curvatura de la zona central, considerada esférica, donde
se cortan los rayos paraxiales.
B)
corte en una posición intermedia. La cuchilla está próxima
al punto de cruce de las normales al espejo en la zona de radio 0,8 Gb.
C)
corte a la distancia donde se cruzan las normales próximas al borde,
donde convergen los rayos marginales.
CONTROL
DE UN ESPEJO CON PANTALLA DE ZONAS
Fig. 28: Aspecto que
presenta la observación de un espejo parabólico frente al aparato
de Foucault, con una pantalla de cinco zonas. La posición longitudinal
del sistema cuchilla-ranura corresponde en la figura a la intersección
de las normales al espejo en el centro de zona 3. Foucaultgramas de este tipo
pueden obtenerse fotográficamente.
Fig.
28
EL FIGURADO DEL ESPEJO
Y LA CORRECCIÓN DE LOS APARTAMIENTOS DE LA FORMA TEÓRICA
El figurado del espejo,
o sea la modificación de su forma esférica para anular la aberración
de esfericidad, se hace con la misma herramienta de pulido y los movimientos
de parabolizado ya descriptos. En el caso de un pequeño espejo como
el nuestro y para una relación focal mayor que F=5, la parabolización
del casquete esférico puede alcanzarse trabajando solamente con la
herramienta grande que se usó en el pulido. Sin embargo, habrá
que cuidar que el espesor de la brea no sea demasiado delgado (entro 4 y 6
mm).
Los movimientos del parabolizado
producen el efecto de desgastar más el borde y el centro del espejo,
condición para llegar a la forma parabólica. Partiendo de una
forma esférica, la duración de este tratamiento no debe exceder
de 5 minutos, para un espejo F=8, hasta el primer control de la forma medida
con el aparato de Foucault. Si el espejo fuera de F=6 podría trabajarse
así unos 6 ó 10 minutos antes del primer control óptico.
En espejos de baja relación
focal o de mayor tamaño se hace necesario utilizar herramientas más
pequeñas, de diámetro entre 0,3 D y 0,5 D, donde los canales
se hacen más anchos al acercarse al borde de la herramienta, de modo
que cada fila de pancitos de brea tome la forma de un huso. Esto se hace para
evitar zonas o escalones. Actuando con esta herramienta en el borde del espejo,
colocado debajo, se rebajará ese borde. Se cuidará de no sacar
más de 1/4 o 1/3 la herramienta fuera del espejo,
Actuando con carreras
centro sobre centro se desgastará el centro del espejo. En el primer
caso, la amplitud del movimiento de vaivén debe ser pequeña
(de la mitad del diámetro de la herramienta, por ejemplo) y se suprimirá
el movimiento (2) de giro de la herramienta sobre sí misma, manteniendo
los otros dos movimientos. Antes de este tratamiento habrá que adaptar
bien la herramienta sobre el espejo, en el mismo lugar y posición de
trabajo. En el segundo caso, con carrera centro sobre centro, la herramienta
se adaptará en el centro del espejo y la amplitud de la oscilación
hará que su borde llegue al del espejo, o sobrepasándolo ligeramente.
Se recomienda mucha
prudencia en todo tratamiento con herramienta subdiámetro,
para no excedernos en el efecto buscado. (Estos retoques serán de sólo
una o dos vueltas completas al espejo). Se podrán agregar pequeños
desplazamientos laterales que acompañarán a las carreras de
vaivén para evitar zonas escalonadas que pueden formarse en la superficie
del espejo cuando la herramienta repite siempre el mismo camino.
Veamos ahora algunos
casos de apartamientos que pueden producirse entre la forma real medida por
medio del aparato de Foucault y la forma deseada o teórica que debe
tener el espejo. Estos defectos en la forma son medibles y deben corregirse
hasta que caigan dentro de las tolerancias que nos hemos propuesto (en general
deben ser errores menores que l/10).
Empezaremos por los defectos más comunes que son aquellos con simetría
de revolución, es decir, donde tanto las zonas con exceso de vidrio,
como aquellas donde faltaría, tienen forma de coronas o cuerpos circulares
centrados.
DEFECTOS CON SIMETRÍA
DE REVOLUCIÓN
En ellos se forman zonas
con iguales apartamientos para iguales distancias al eje óptico. Decimos
entonces que el espejo conserva una simetría de revolución alrededor
de dicho eje.
Con un régimen
de trabajo normal, y la herramienta un milímetro o dos más chica
que el espejo y sus canales bien parejos en ancho y profundidad, se llega
automáticamente a una forma esférica que es la forma deseada
para el momento de terminar el pulido. A partir de allí comenzamos
con el figurado, hasta alcanzar la forma parabólica (o a veces hiperbólica)
que deseamos dar al espejo primario de un telescopio. En los estados intermedios
pasaremos por todas las formas elípticas comprendidas entre la esfera
y la parábola. Si avanzamos demasiado con las carreras de parabolizado
sin hacer suficientes y oportunos controles, encontraremos que se ha sobrepasado
la forma de paraboloide, llegando a tener algún hiperboloide de revolución,
o algo parecido, desde donde debemos retroceder hasta la forma de paraboloide
deseada.
Fig.
29
Fig. 29:
Sección de un espejo esférico y zonas del borde y centro (rayadas)
donde debe sacarse vidrio
para llegar al paraboloide con un mínimo de vidrio removido. En este
caso y en la zona 0,7 r la remoci6n de vidrio debe ser teóricamente
nula. Curvaturas y diferencias se muestran fuertemente exageradas para hacerlas
notar.
Fig.
30
Fig. 30:
Forma aparente que toma el perfil de un espejo parabólico observado
en el aparato de Foucault. Se explica esta forma a partir de las curvas de
la figura 29 y suponiendo que pudiéremos enderezarlas juntas, manteniendo
invariable la separaci6n entre ambas. Cuando el arco de circunferencia llegue
a ser un segmento recto, el arco de parábola tomará la forma
de la curva de fig. 30. Es muy importante recordar esta forma porque es la
que aparenta tener la superficie de un espejo parabólico observada
con el aparato de Foucault. Un espejo elíptico o hiperbólico
tendría un aspecto semejante, imposible de diferenciar sin medir las
diferencias de radios de curvatura. Un espejo esférico aparentaría
ser plano, con el mismo brillo en toda su superficie.
Fig.
31
FIG. 31:
Forma aparente del perfil de un espejo elíptico con eje de simetría
alrededor del eje menor. Las zonas claras y oscuras aparecen permutadas. Hay
que cuidar no confundir la interpretación de estas dos últimas
figuras, al ser observadas con el aparato de Foucault.
Para volver desde una
forma hiperbólica a la parabólica debemos quitar vidrio en la
zona del 70% del radio óptico del disco (0,7r o simplemente zona 0,7),
y ello puede hacerse con la misma herramienta encima del espejo, haciendo
que su borde trabaje en esa zona 0,7 y ejerciendo allí mayor presión
con la mano para aumentar el desgaste. Se trabajará con espejo abajo
y carrera corta de 1/5 D, alternando con carreras centro sobre centro. La
herramienta de brea deberá tener uno o dos milímetros menos
de diámetro que el espejo para evitar la caída del último
milímetro del borde.
Si del control surge
que el espejo tiene forma elíptica habrá que continuar con los
movimientos de parabolizado y controles cada vez más frecuentes, al
acercarnos a la parábola deseada.
Puede ocurrir que, al
terminar el pulido, el espejo presente una forma de elipsoide de revolución
con eje de simetría coincidente con el eje menor de la elipse.
En este caso se comenzará el figurado como si se tratara de un espejo
esférico, con los movimientos de parabolizado. Esta forma del espejo
es muy fácil de confundir con la forma elíptica con eje de simetría
coincidente con el eje mayor de la elipse. Para distinguirlas basta
comparar los radios de curvatura de la superficie entre centro y borde (fig.
32). Si la zona central tiene su centro de curvatura más cerca del
espejo que la zona del borde (fig. 32 (A)), la forma elíptica tendrá
una figura de revolución alrededor del eje mayor. Si, en cambio, la
zona central muestra su centro de curvatura más lejos del espejo que
la del borde, estaremos en el caso de fig. (B), donde el espejo es elíptico
pero con forma de revolución alrededor del eje menor de la elipse.
FIG.
32
FIG.
33
Fig. 33. FORMAS APARENTES,
observadas en el aparato de Faoucault, de superficies ópticas esféricas
con distintos defectos de revlución. Deben interpretarse como si estuvieran
iluminadas con luz rasante proveniente de la izquierda.
OTRAS ANOMALÍAS
QUE PUEDEN PRESENTARSE
1) BORDE CAÍDO.
CAUSAS: a) Brea demasiado blanda y/o gruesa. b) Diámetro de la herramienta
excesivo por desborde de la brea. c) Canales obstruidos hacia el borde. d)
Movimientos inadecuados (espejo abajo con carreras largas).
TRATAMIENTO:
Trabajar con espejo abajo.
Carrera corta, centro sobre centro. Herramienta con brea biselada de diámetro
algo menor que el espejo y canales uniformes.
2) CENTRO HUNDIDO.
CAUSAS: a) Excesiva acción del borde de la herramienta sobre el centro
del espejo (demasiada presión o desplazamiento excesivo). b) Canales
obstruidos hacia el centro de la herramienta.
TRATAMIENTO:
Abrir más los
surcos en el centro de la herramienta. Carreras cortas con poco o nulo desplazamiento
con espejo preferiblemente abajo.
3) CENTRO CON ELEVACIÓN.
CAUSAS: a) Herramienta con canales muy abiertos en el centro o mal adaptada.
b) Carreras muy cortas, especialmente con espejo abajo y poco o nulo desplazamiento.
TRATAMIENTO:
Uniformar el ancho y
profundidad de canales. Aumentar la amplitud de carreras y desplazamientos.
Con espejo arriba puede darse una vuelta con carreras de máximo desplazamiento
y cortas.
4) ZONA ANULAR DEPRIMIDA.
CAUSAS: a) Herramienta con canales irregulares. b) Carreras muy cortas y poco
desplazamiento.
TRATAMIENTO:
Igualar ancho y profundidad
de canales. Aumentar amplitud de carreras. Puede llegar a ser necesario quitar
uno o dos pancitos de brea que coincidan con la zona deprimida.
5) ZONA ANULAR ELEVADA:
CAUSAS: Son las mismas que en el caso anterior.
TRATAMIENTO:
Ensanchar los canales
de la herramienta excepto en la zona correspondiente al anillo elevado. Hacer
carreras normales alternando espejo arriba y abajo. Puede ser necesario dar
una o dos vueltas con espejo arriba y desplazamiento necesario para que el
borde de la herramienta actúe en la zona elevada.
6) VARIAS ZONAS CONCÉNTRICAS.
CAUSAS: Las causas son similares a los dos casos anteriores.
TRATAMIENTO:
Igualar los canales,
biselando el borde de brea. Trabajar con mayores carreras y desplazamiento
normal.
RETOQUES LOCALES
Hasta ahora hemos visto
algunas anomalías que pueden presentarse y cómo es posible intentar
corregirlas empleando la herramienta completa. Pero no siempre es posible
aplicar un estricto determinismo para corregir así esas anomalías.
Ocurre que el conjunto de factores que determinan la acción de esa
herramienta nunca es completamente conocido y, en consecuencia, nunca es perfectamente
reproducible.
Si se utiliza en cambio
una herramienta más pequeña se tendrá una acción
más localizada y mejor conocida. Pero aparece entonces otro problema
y es la dificultad de producir el desgaste justo allí donde se necesita
quitar vidrio. Generalmente se logra reducir la altura de una zona levantada
pero aparecen otras zonas más angostas aunque mucho menos profundas.
Podemos establecer, sin
embargo, algunos principios que serán de aplicación general
y segura en todos los casos:
1) El desgaste es
función directa de la presión ejercida . Podemos ejercer
esta presión apoyando una mano con más fuerza donde queremos
producir una acción más enérgica. En otros casos es posible
concentrar en una zona el peso de la herramienta como cuando está arriba
del espejo con cierto desplazamiento que actúa a modo de palanca, con
una parte en voladizo, aumentando en este caso la presión sobre el
borde del espejo.
2) El desgaste es
proporcional al tiempo de acción de la herramienta. Este principio
resulta evidente pero en su aplicación es frecuente recibir más
de una sorpresa, pues la función no es lineal ni simple, lo
que hace que no sea reproducible. Aún en los casos más graves
un tiempo de acción de 5 minutos es generalmente prudente. En otros
casos, para corregir leves anomalías localizadas pueden requerirse
sólo 10 segundos.
3) El desgaste es
proporcional a la velocidad relativa entre espejo Y
herramienta.
Esto es aplicable hasta cierta velocidad. Un movimiento rápido, más
parecido a un sacudimiento, no es aconsejable. La frecuencia de las oscilaciones
y rotaciones serán en función del tamaño de las piezas.
Cuanto más grande sea el espejo más lentos serán sus
movimientos o los de la herramienta, y menores las frecuencias. En un espejo
objetivo astronómico como el que nos ocupa (D=180 mm) una frecuencia
máxima de 2 oscilaciones completas por segundo parecería
un límite superior aceptable.
4) El desgaste puede
modificarse dejando inactivas ciertas partes de la herramienta. En zonas
donde queremos reducir el desgaste es factible quitar uno o más panes
de brea de la herramienta o dejar fuera de acción algunas partes de
ella. Una zona de la herramienta puede desactivarse prensando espejo y herramienta
con la interposición de una lámina de polietileno cortada con
la forma de la zona a desactivar. La figura de esta zona puede parecerse a
la de una flor de 4 o 5 pétalos, donde la forma de cada pétalo
dependerá de la curva del perfil de la semimeridiana determinado con
el aparato de Foucault. Por ejemplo, si en la zona 0,60 el perfil muestra
la zona más levantada del espejo, cada pétalo, a esa misma distancia
del centro de la herramienta, deberá tener un ancho igual a cero. Los
pétalos serán más anchos en la zona correspondiente a
los puntos más deprimidos que muestre el perfil medido de la semimeridiana.
En espejos grandes pueden
usarse herramientas en forma de corona para rebajar zonas altas del espejo.
Para suavizar la acción de estas coronas de brea es conveniente hacer
dentados su borde interno y externo y trabajar con movimiento oscilatorio
de poca amplitud y poco desplazamiento, cuidando de no excedernos en el tiempo.
Deben predominar en este caso de las coronas los movimientos circulares (movimientos
(2) y (3) de la figura 10).
5) Pueden desgastarse
zonas elevadas mediante pulidores locales. Estos pulidores son herramientas
redondas de menor diámetro que el espejo (de 0,5 D a 0,3 D) o pueden
también ser de forma cuadrada o romboidal. Se hacen sobre una base
que puede ser un disco de vidrio o un trozo de madera gruesa, de 20 mm de
espesor, con una cara cubierta de brea y surcos cortados en ella como en la
herramienta grande. En estos casos el ancho de esos surcos se hace aumentar
hacia el borde del pulidor de modo que cada fila de panes de brea presenta
una forma ahusada. Se logra así una transición más suave
entre la zona trabajada y la contigua que ha quedado intacta.
Cuando es necesario atacar
una leve elevación central del espejo puede usarse como herramienta
la yema del dedo pulgar pintada con polvo de pulir, dando una vuelta rápida
con movimiento de oscilación de unos 3 cm de amplitud. Esta técnica
también puede aplicarse a zonas elevadas en forma de corona mediante
movimientos tangenciales de igual amplitud realizados con el dedo pulgar,
cumpliendo siempre vueltas completas. Cada operario deberá ganar su
propia experiencia en estos delicados retoques.
Todos estos tratamientos
localizados de la superficie óptica deben continuarse con una breve
acción de la herramienta completa bien asentada, a fin de emparejar
o suavizar las posibles zonas circulares que puedan haberse formado.
DEFECTOS SIN SIMETRÍA
DE REVOLUCIÓN
Un espejo chico de unos
20 o 30 cm de diámetro, trabajado normalmente con las precauciones
recomendadas, no tiene prácticamente ninguna probabilidad de presentar
defectos de este tipo. Sólo en el caso de trabajar con espejo abajo,
mantenido inmóvil y mal apoyado durante varios minutos, podría
presentarse la posibilidad de mostrar una figura astigmática,
que es el caso más común de los defectos que no tienen una simetría
de revolución.
Decimos que un espejo
tiene astigmatismo cuando en uno de sus diámetros presenta un
radio de curvatura máximo mientras en el diámetro perpendicular
se mide un radio de curvatura mínimo. Si cualquiera de estos
diámetros se dispone horizontalmente en la prueba de Foucault el astigmatismo
puede pasar inadvertido para el observador, mientras que se hará más
notable cuando se presenten a 45° con un plano horizontal.
Para detectar los defectos
que no tienen forma de revolución de poco nos sirve el aparato de Foucault
con o sin pantalla de zonas, como fue descripto, cortando el haz reflejado
con una cuchilla. Este género de anomalías se hace notable mediante
el examen de las imágenes parafocales con un ocular de fuerte
aumento. Estas imágenes se observan un poco antes del foco (intrafocales)
o un poco después del foco (extrafocales). Como fuente luminosa debe
usarse una estrella artificial muy pequeña (de 10 mm
de diámetro o menos) y bien redonda, cosa difícil de obtener
perforando una chapa. Es preferible entonces usar la imagen virtual
de un orificio redondo de unos 3 ó 4 mm de diámetro y bien iluminado
por detrás.
FIG.
34
FIG. 34:
INSTALACIÓN PARA DETECTAR ASTIGMATISMO U OTROS DEFECTOS SIN SISTEMA
DE REVOLUCIÓN, ANALIZANDO LA IMAGEN DE UN OBJETO PUNTIFORME.
Esta fuente luminosa
se coloca a por lo menos 50 cm del ocular, formando un ángulo a
de unos 30° a 40° con el eje del espejo. El ocular atraviesa una pantalla
negra para evitar al observador la luz directa de la fuente. Sobre el mismo
ocular se pega con brea una bolilla de acero bien pulida de unos 6 mm de diámetro
(preferiblemente aluminizada, para que refleje más luz), como muestra
la figura 34. El conjunto ocular – bolilla – pantalla se fija a la columna
del aparato de Foucault, y se usa en reemplazo de la estrella artificial –
cuchilla del propio aparato.
La fuente luminosa ilumina
la bolilla, que da de ella una pequeña imagen virtual. Esta imagen
virtual hará de estrella artificial en este caso, y enviará
luz al espejo, que la devolverá formando una imagen real de esa imagen
virtual. La imagen real es observada con el ocular. Examinando la forma de
las imágenes un poco antes o un poco después del foco (imágenes
parafocales) deben verse bien redondas si el espejo no tiene defectos. Si
aparecen las imágenes ligeramente elípticas el espejo tendrá
cierto astigmatismo, y si se muestran de forma irregular es porque el espejo
tiene alguna anomalía irregular. Cuando el espejo tiene astigmatismo
regular, una imagen elíptica intrafocal se transforma en otra imagen
elíptica extrafocal donde la elipse ha girado 90°.
Se comprueba que el astigmatismo
observado es producido por el espejo y no por la instalación, girando
el espejo unos 30° por ejemplo. Si el eje de las elipses observadas en
el ocular girara el mismo ángulo, es indudable que es el espejo el
responsable del astigmatismo.
Un
espejo con leve astigmatismo se corrige trabajando con la herramienta completa,
haciendo predominar los movimientos giratorios (2) y (3) respecto del movimiento
de oscilación (1) (figura 10). Se alternarán las mojadas con
espejo arriba y abajo.
TELESCOPIO: TUBO Y
DISPOSICIÓN DE LOS ELEMENTOS
FIG.
35
36
FIG.
37
FIG.
38
METALIZADO DEL ESPEJO
OBJETIVO
Después de dar
por terminado el trabajo óptico realizado en la cara cóncava
del disco de vidrio, será necesario recubrirla con una finísima
capa metálica que aumente su reflectividad y la convierta en un espejo
de primera superficie. El metal recomendable es el aluminio que se
deposita sobre el vidrio por métodos físicos mediante su evaporación
en alto vacío. Esta operación no está al alcance de un
aficionado debido al complejo equipo necesario y es por esto que el aluminizado
debe encargarse a un laboratorio especializado con experiencia en ese tipo
de trabajos.
El plateado, en
cambio, se hace por reacciones químicas y puede ser encarado por el
aficionado, pero, lamentablemente, la duración de un plateado en condiciones
aceptables de reflectividad, es de unas pocas semanas, mientras que el aluminizado
puede durar algunos años en buenas condiciones si se cuida el espejo
del polvo y del rocío. Esta diferencia en la duración se debe
a que el óxido de plata es de color marrón oscuro y opaco, mientras
que el óxido de aluminio es transparente y duro, formando una capa
protectora del metal.
ALINEACION DEL
TELESCOPIO
Para su correcto funcionamiento,
un telescopio debe estar alineado. En un telescopio newtoniano como
el nuestro ello se alcanza cuando se cumplen las siguientes condiciones:
1) El eje óptico
del espejo objetivo debe estar dirigido hacia el centro del espejo plano,
punto que estará situado en el eje del tubo.
2) El eje del portaocular
debe pasar también por el centro del espejo plano y, “reflejado” en
él, debe pasar también por el centro del espejo objetivo, coincidiendo
con su eje óptico.
3) Siendo el espejo plano
de contorno elíptico, su eje mayor debe estar en el plano determinado
por los ejes ópticos del espejo objetivo y del ocular.
No es imprescindible
que dichos ejes ópticos sean perpendiculares entre sí, pero
es preferible y más práctico que así lo sean.
Para realizar el alineado
comenzaremos tratando de cumplir la segunda y tercera condición. Para
ello dirigimos el telescopio hacia el cielo azul o hacia alguna superficie
uniformemente iluminada y, sin el ocular colocado, miramos por el agujero
del portaocular. Veremos el contorno aparentemente circular del espejo plano
de forma elíptica y reflejado en él veremos el círculo
del espejo objetivo. Reflejado a su vez en este último y dentro de
su contorno se verá también en una segunda reflexión,
el círculo de la montura del espejo plano con sus cuatro aletas de
unión al tubo. A su vez, dentro del espejo plano y ocupando el centro
veremos nuestra propia pupila del ojo, luego de tres reflexiones, si nuestro
ojo está suficientemente iluminado.
Alejándonos un
poco del tubo portaocular veremos en primer plano su contorno circular anterior,
formado por su boca externa, y algo más adentro, su contorno circular
posterior o interno. Debemos ubicar nuestro ojo de modo que veamos estos dos
contornos concéntricos, lo que nos asegura tener el ojo en el eje
del portaocular. Una manera más segura de lograr esto es colocar
un pequeño diafragma de 2 mm de diámetro o menos, en el centro
de la boca de entrada del portaocular, y mirar aplicando el ojo en él.
Desde allí veremos los contornos descriptos. El más externo
y próximo será el contorno de la boca interna del portaocular
(ver figura 39).
Aflojando los 5 tornillos
que fijan la posición del espejo plano movemos la araña y giramos
el cuerpo cilíndrico de la montura del espejo plano hasta lograr que
el círculo del espejo objetivo se vea concéntrico con el portaocular.
Para este ajuste es necesario que los agujeros de los extremos de las aletas
de aluminio sean alargados, de 5 mm de ancho y 15 mm de largo, si usamos tornillos
3/16″ (21 de fig. 36). Una vez ajustados dichos tornillos y la tuerca 20 (fig.
36) y manteniendo la concentricidad lograda, se habrá cumplido con
la condición 2).
La
condición 3) se cumple si no ha habido errores groseros en la ubicación
de las piezas en el tubo, y sólo debemos verificar que no hay motivos
para pensar en ellos.
FIG.39
Para completar la alineación
sólo falta regular la posición del espejo objetivo mediante
las tres tuercas que la celda tiene al dorso (10 en figura 35).
Mirando por el portaocular,
hacemos que la montura de aspecto circular del espejo plano, vista con dos
reflexiones, se coloque en posición concéntrica con el contorno
del espejo objetivo, actuando sobre dichas tres tuercas. Con esto realizado
se dará cumplimiento a la condición l), y quedará el
telescopio alineado. El círculo de la boca del telescopio, visto con
dos reflexiones, sólo se verá quitando el pequeño diafragma
de la boca del portaocular y moviendo la cabeza alrededor de su eje.
Como verificación
de la alineación del espejo objetivo efectuada con las tres tuercas,
observando desde cierta distancia de la boca del telescopio (un metro aproximadamente),
deberá verse que la imagen del cuerpo cilíndrico que lleva el
espejo plano, que se ve reflejada en el espejo cóncavo, queda oculta
detrás de ese objeto (figura 41 ) y que las aletas de la araña
quedan bien alineadas con sus imágenes, dadas también por el
espejo cóncavo.
Dada la geometría
del sistema, es prudente aclarar que, estando el centro del espejo plano en
el eje del tubo y el telescopio correctamente alineado, el contorno elíptico
del espejo plano que se ve aparentemente circular desde la boca del portaocular,
no se verá concéntrico con los demás contornos circulares,
sino que aparecerá ligeramente desplazado hacia la boca del telescopio
(ver figuras 39 B y 40 ).
Esto es normal y ocurre
porque, cuando un cono (en nuestro caso es el cono de rayos luminosos)
es seccionado oblicuamente, el eje del cono no pasa por el centro
de la sección elíptica resultante como pasaría si,
en lugar de un haz cónico, tuviéramos un haz cilíndrico.
FIG.
40
OCULARES
Todo telescopio debe
equiparse con un juego de oculares que permiten alcanzar distintos aumentos
comprendidos entre el aumento equipupilar y unas diez veces este valor. Como
mínimo debe disponerse de dos o tres oculares. Para nuestro telescopio
de 180 mm de diámetro y 1200 mm de distancia focal pueden usarse 3
oculares:
Dist. focal (mm) Aumento
OCULAR 1
24
50
OCULAR 2
14
65,7
OCULAR 3
6
150
Existe una lente acromática
divergente, llamada lente de BARLOW, que, colocada pocos centímetros
antes del ocular, permite duplicar el tamaño de la imagen que da el
espejo objetivo, como si su distancia focal fuera el doble de la que tiene.
Estas lentes también se usan en fotografía con el nombre de
“teleconvergentes”. El factor de aumento que introducen es generalmente de
2X ó 2,5X. Aplicada una lente de Barlow 2X a nuestro telescopio con
los mismos oculares tendríamos respectivamente los aumentos de 100,
171 y 300.
El ocular más
simple y económico es el de RAMSDEN, formado por dos lentes simples
plano-convexas montadas a cierta distancia entre sí con las caras planas
hacia afuera.
Otro ocular mejor corregido
cromáticamente es el de KELLNER, similar al anterior, donde la lente
de ojo está formada por un doblete acromático pegado.
En orden de complejidad
le sigue el ocular de PLÖSSL constituido por dos dobletes acromáticos,
muy bien corregido de aberraciones.
Hay muchos otros oculares
más complejos, como por ejemplo el ortoscópico”, el “super Plössl”,
etc., que son excelentes para un telescopio como el descripto en este trabajo.
Puesto que no se justifica
la construcción de oculares por el aficionado, se recomienda adquirirlos
en el comercio.
ESPEJO PLANO
Empleando la fórmula
de página 15 el aficionado calculará el valor de a, eje menor
de la elipse del contorno del espejo plano, y con este dato lo adquirirá
en las casas del ramo. Necesitando un solo espejo no se justifica encarar
su construcción.
BUSCADOR
Un buen buscador puede
armarse con un objetivo de prismático de 35 a 50 mm de diámetro
y un ocular también de prismático siempre que sea de uno de
poco aumento (7 a 10 aumentos), o con cualquier otro ocular de unos 30 mm
de distancia focal. Estos oculares deberán tener al menos un retículo
simple (dos hilos cruzados) o mejor dos hilos paralelos cruzados con otros
dos a 90°, para definir bien el centro del campo.
También es factible
y recomendable adquirir un buscador ya hecho, que puede ser refractor o reflector,
como el mismo telescopio, con un menisco de cierre del tubo a la entrada de
la luz.
El buscador facilitará
notablemente conseguir que el objeto a observar aparezca en el campo del ocular
del telescopio, puesto que a través del buscador se abarca un campo
mucho mayor que con el telescopio (unas 10 o más veces mayor). Para
ello es necesario que el eje del buscador sea paralelo, al eje del telescopio
y deben preverse en los elementos de unión al tubo los tornillos de
ajuste necesarios para llevar a cumplir esa condición.
AGRADECIMIENTOS
El autor agradece al
teórico óptico Alfredo De Palo su eficiente colaboración
en el desarrollo de las clases prácticas de este curso y sus consejos
en lo referente a pulido y figurado; a la señorita Amalia De Palo por
su colaboraci6n en las prácticas; a la señorita María
del Carmen Marano, a cuyo cargo estuvieron las tareas administrativas y junto
a la geofísica Rosalía Iris Cabassi, la confección de
los originales mecanografiados de la parte teórica del presente curso.
Finalmente, agradezco también la colaboración del licenciado
en Astronomía Luis C. Martorelli por su tarea de coordinaci6n general.
S. J. CHAVASSE
Todos los derechos reservados.
Queda prohibida la reproducci6n total o parcial de esta publicación.
LA PLATA
1990
INDICE
Introducción
1
Parámetros
de un espejo cóncavo
2
Observación
Aumento. limitaciones
5
Ejemplo
8
bilaterales
VY-Yra objetivos
9
Forma
del espejo objetivo
10
Tolerancias
10
El espejo
esférico
11
Comportamiento
óptico de espejos esféricos y parabólioos
13
El telescopio
newtoniano
14
Forma
y tamaño del espejo plano
15
El telescopio
reflector del aficionado
17
Tamaño
del espejo objetivo
18
El telescopio
de 180 mm de abertura
19
Poste
de trabajo
19
Abrasivos
22
Bi 0
19 F3
22
Desbastado
23
Movimientos
para el desbastado
23
Medición
del radio de curvatura
27
Esmerilado
32
Esmerilado
fino
33
Preparación
de los esmeriles
34
Pulido
35
El polvo
de pulir. Preparación
36
Preparación
de la brea
36
Preparación
de la herramienta
38
El aparato
de Foucault
42
Examen
del espejo esférico con el aparato de Foucault
46
Las
tres situaciones con un espejo esférico
48
Parabolización
del espejo
52
Movimientos
para parabolizar
52
Pantalla
de cuatro zonas para medir el espejo
53
Determinación
de la forma del espejo
55
Uso
de las planillas de cálculo
57
Cómo
trazar las pendientes
60
Escala
en el. eje de ordenadas
63
Ejemplo
de cálculo
64
Aspecto
de un espejo parabólico observado en el
aparato
de Foucault
66
El figurado
del espejo y la corrección de los
apartamientos de la forma teórica
68
Defectos
con simetría de revolución
70
Otras
anomalías que pueden presentarse
73
Retoquen
locales
75
Defectos
sin simetría de revolución
79
Telescopio
Tubo y disposición de los elementos
82
Celda
del espejo objetivo
82
Soporte
del espejo -plano
83
Montura
84







































muchas gracias por esta informacion tan detallada